Appearance
《自动喷水灭火系统 第15部分:家用喷头 》GB 5135.15-2008
🗓️ 住房和城乡建设部 实施时间:2009-06-01
前言
中华人民共和国国家标准
GB 5135.15—2008
自动喷水灭火系统 第15部分:家用喷头
Automatic sprinkler system—
Part 15:Domestic sprinklers
(ISO 6182-10:2006,Fire protection—Automatic sprinkler systems—
Part 10:Requirements and test methods for domestic sprinklers,MOD)
2008-06-04发布
2009-06-01实施
中华人民共和国国家质量监督检验检疫总局
中国国家标准化管理委员会
发布
本部分的第6章、第8章的内容为强制性,其余为推荐性。
GB 5135《自动喷水灭火系统》目前已分为如下几部分:
——第1部分:洒水喷头;
——第2部分:湿式报警阀;
——第3部分:水雾喷头;
——第4部分:干式报警阀;
——第5部分:雨淋报警阀;
——第6部分:通用阀门;
——第7部分:水流指示器;
——第8部分:加速器;
——第9部分:早期抑制快速响应(ESFR)喷头;
——第10部分:压力开关;
——第11部分:沟槽式管接件;
——第12部分:扩大覆盖面积洒水喷头;
——第13部分:水幕喷头;
——第14部分:预作用装置;
——第15部分:家用喷头;
......
本部分为 GB 5135的第15部分。
本部分修改采用 ISO 6182-10:2006《自动喷水灭火系统 家用喷头的要求和试验方法》(英文版)。本部分根据 ISO 6182-10:2006重新起草。在附录A中列出了本部分章条编号与 ISO 6182-10:2006章条编号的对照一览表。
考虑到我国国情,在采用 ISO 6182-10:2006时,本部分做了一些修改。有关技术性差异已编入正文中并在它们所涉及的条款的页边空白处用垂直单线标识。在附录B中给出了这些技术性差异及其原因的一览表以供参考。
为便于使用,对于 ISO 6182-10:2006,本部分还做了下列编辑性修改;
——将“本国际标准”一词改为“本部分”;
——用小数点“.”代替作为小数点的逗号“,”;
——删除国家标准的前言、引言和参考文献。
本部分的附录A、附录B、附录D、附录E为资料性附录。附录C为规范性附录。
本部分由中华人民共和国公安部提出。
本部分由全国消防标准化技术委员会第二分技术委员会(SAC/TC 113/SC 2)归口。
本部分负责起草单位:公安部天津消防研究所。
本部分参加起草单位:泰科流体控制国际贸易 (上海)有限公司、广东胜捷消防设备有限公司。
本部分主要起草人:张强、李毅、啜凤英、张少禹、赵永顺、卢政强、宋焕瞳、甘晓虹、赵雷、伍建许。
1 范围
GB 5135的本部分规定了自动喷水灭火系统家用喷头的要求、试验方法、检验规则和标志、使用说明书、包装、运输、贮存等。
本部分适用于自动喷水灭火系统家用喷头。
2 规范性引用文件
下列文件中的条款通过 GB 5135的本部分的引用而成为本部分的条款。凡是注日期的引用文件,其随后所有的修改单(不包括勘误的内容)或修订版均不适用于本部分,然而,鼓励根据本部分达成协议的各方研究是否可使用这些文件的最新版本。凡是不注日期的引用文件,其最新版本适用于本部分。
GB 5135.1 自动喷水灭火系统 第1部分:洒水喷头
GB/T 7306.2 55°密封管螺纹 第2部分:圆锥内螺纹与圆锥外螺纹(GB/T 7306.2—2000,eqv ISO 7-1:1994,Pipe threads where pressure-tight joints are made on the threads—Part 1:Dimensions,tolerances and designation)
GB/T 16172 建筑材料热释放速率试验方法[ GB/T 16172—2007/ISO 5660-1:2002,Reaction to fire tests—Heat release,smoke production and mass loss rate-Part 1:Heat release rate (cone calorimeter method),IDT]
3 术语和定义
GB 5135.1确立的以及下列术语和定义适用于 GB 5135的本部分。
3.1 家用喷头 domestic sprinklers
安装在家庭和其他类似居住空间内,在预定的温度范围内自行启动,按设计的洒水形状和流量洒水到设计的保护区域内的一种快速响应喷头。
3.2 设计长度 design length
家用喷头设计保护面积的长度。
3.3 设计宽度 design width
家用喷头设计保护面积的宽度。
3.4 设计流量 design flow rate
针对不同保护面积,家用喷头能够有效保护的最小流量。
3.5 快速响应喷头 fast response sprinklers
响应时间系数(RTI)小于或等于50(m•s)0.5且传导系数(C)小于或等于1.0(m/s)0.5的喷头。
4 分类
4.1 按热敏元件分类 4.1.1 易熔元件家用喷头
通过易熔元件受热熔化而开启的家用喷头。
4.1.2 玻璃球家用喷头
通过玻璃球内充装的液体受热膨胀使玻璃球爆破而开启的家用喷头。
4.2 根据安装位置分类 4.2.1 下垂型家用喷头
下垂安装,水流向下冲向溅水盘的家用喷头。
4.2.2 直立型家用喷头
直立安装,水流向上冲向溅水盘的家用喷头。
4.2.3 边墙型家用喷头
靠墙安装,在一定的保护面积内,将水向一边(半个拋物线)喷洒分布的家用喷头。
4.3 特殊类型喷头 4.3.1 嵌入式家用喷头
除根部螺纹外,喷头的全部或部分本体被安装在嵌入吊顶的护罩内的家用喷头。
4.3.2 隐蔽式家用喷头
带有装饰盖板的嵌入式家用喷头。
4.3.3 齐平式家用喷头
喷头的部分本体(包括根部螺纹)安装在吊顶下平面以上,而部分或全部热敏感元件在吊顶下平面以下的家用喷头。
5 公称口径、接口螺纹、颜色标志和型号编制
5.1 家用喷头的公称口径和接口螺纹
喷头的公称口径和接口螺纹见表1。

5.2 公称动作温度和颜色标志
家用喷头的公称动作温度和颜色标志见表2。
玻璃球家用喷头的公称动作温度分为5档,应在玻璃球工作液中做出相应的颜色标志。
易熔元件家用喷头的公称动作温度分为2档,应在喷头轭臂或相应的位置做出颜色标志。

5.3 型号编制
5.3.1 家用喷头的型号规格由类型特征代号、性能代号、公称流量系数和公称动作温度等部分组成。
5.3.2 类型特征代号表明了产品的结构形式和特征,由不超过3位大写英文字母、阿拉伯数字或其组合构成,可由生产商自己命名。
5.3.3 性能代号表明喷头的洒水分布类型、安装位置等特性,由下列符号构成:
下垂型家用喷头:RES-SP
直立型家用喷头:RES-SU
直立边墙型家用喷头:RES-USW
水平边墙型家用喷头:RES-HSW
齐平式下垂型家用喷头:RES-FSP
齐平式边墙型家用喷头:RES-FSW
嵌入式下垂型家用喷头:RES-RSP
嵌入式边墙型家用喷头:RES-RSW
隐蔽式下垂型家用喷头:RES-CSP
隐蔽式边墙型家用喷头:RES-CSW
5.3.4 型号编制示例
家用喷头的型号编制方法如下:

示例1:A1 RES-SP 60-57℃表示A1型,下垂安装,公称流量系数为60,公称动作温度为57℃的家用喷头。
示例2:C2 RES-HSW 70-68℃表示C2型,边墙型、水平安装,公称流量系数为70,公称动作温度为68℃的家用喷头。
6 要求
6.1 整体要求
家用喷头在制造上应确保其产品的一致性,从设计和制造上应保证使其不能轻易调整、拆卸和重装。密封部分不应使用橡胶O型圈。
6.2 外观
6.2.1 家用喷头的外表面应均匀一致,无明显的磕碰伤痕、变形及缺陷,表面涂、镀层完整美观。
6.2.2 家用喷头的接口螺纹应符合GB/T 7306.2的规定。
6.2.3 家用喷头在其溅水盘或本体上至少应标记型号规格、生产厂商的名称 (代号)或商标、生产年代等;边墙型家用喷头,还应标明水流方向。所有标记应为永久性标记且标志正确、清晰。
6.3 水压密封和耐水压强度性能
6.3.1 按7.3.1规定的方法进行试验时,家用喷头在整个试验过程中应无渗漏。
6.3.2 按7.3.2规定的方法进行试验时,家用喷头应无变形或破坏。
6.4 流量系数
6.4.1 家用喷头的流量系数K由式(1)计算:

式中:
P——家用喷头入口处压力,单位为兆帕(MPa);
Q——家用喷头的流量,单位为升每分(L/min)。
6.4.2 按7.4规定的方法进行试验,家用喷头流量系数K的任一测量值和平均值均不应超过公称流量系数的±5%。
6.5 布水性能
6.5.1 平面喷洒性能
6.5.1.1 非边墙型家用喷头在设计保护面积的1/4空间进行布水试验,边墙型家用喷头在设计保护面积的一半空间进行布水试验。
6.5.1.2 非边墙型家用喷头按7.5.1.1规定进行试验,洒水密度小于0.8 mm/min且大于0.6 mm/min的集水盒数量不应超过4个,其他集水盒的洒水密度都应大于0.8 mm/min。
6.5.1.3 边墙型家用喷头按7.5.1.2规定进行试验,洒水密度小于0.8 mm/min且大于0.6 mm/min的集水盒数量不应超过8个,其他集水盒的洒水密度都应大于0.8 mm/min。
6.5.2 墙面喷洒性能
6.5.2.1 按7.5.2规定的方法进行试验时,家用喷头应连续打湿试验室四周的墙面,打湿部位距吊顶的距离不应大于711mm。
6.5.2.2 当设计保护面积为正方形时,区域内每面墙的洒水量不应小于喷头洒水量的5%;当设计保护面积为长方形时,区域内的每面墙的洒水量不应小于喷头洒水量的W。W根据式(2)计算:
W=20x(L1/L) ........................(2)
式中:
W——一面墙上接收水量占喷头洒水量的百分比,%;
L1——此墙长度,单位为米(m);
L——保护区域的周长,单位为米(m)。
6.6 静态动作温度
家用喷头的静态动作温度按7.6规定的方法进行试验,不应超过式(3)规定的范围。
X±(0.035X+0.62) ..........................(3)
式中:
X——公称动作温度,单位为摄氏度(℃)。
6.7 功能
家用喷头按7.7规定的方法进行试验,喷头应在热敏元件释放后5 s内打开。热敏元件释放后10 s内,应清除所有沉积。
6.8 抗水冲击性能
按7.8规定的方法进行试验,家用喷头不应出现渗漏和损坏。本项试验后,所有试样还应进行密封试验和0.035MPa压力下的功能试验,并应符合6.3.1和6.7的规定。
6.9 工作载荷和框架强度
6.9.1 轭臂支撑的家用喷头的工作载荷按7.9.1~7.9.4规定的方法确定。
6.9.2 轭臂支撑的家用喷头按7.9.5规定的方法进行试验时,其框架的永久变形不应大于喷头载荷支承点间距离的0.2%。
6.10 热敏元件强度
6.10.1 玻璃球按7.10.2规定的方法进行试验,应符合下列要求:
a)玻璃球的平均破碎载荷不应小于6倍的玻璃球平均设计载荷;
b)对于99%的样品(p)置信度系数(v)为0.99时,计算出的玻璃球破碎载荷的下限误差至少为玻璃球设计载荷上限误差的2倍。除非在生产或设计中证实其他分布更适用,应使用正态或高斯分布进行计算。参见附录D。
6.10.2 易熔元件按7.10.3.1规定的方法进行试验,应能承受15倍的最大设计载荷100 h;或按7.10.3.2规定的方法进行试验,满足式(4)的规定:
Ld≤1.02Lm²/L0 ......................(4)
式中:
Ld——易熔元件最大设计载荷,单位为牛(N);
Lm——易熔元件1000h损坏时的载荷,单位为牛(N);
L0——易熔元件1h损坏时的载荷,单位为牛(N)。
6.11 疲劳强度
玻璃球家用喷头按7.11进行试验,玻璃球元件不应损坏。本项试验后,所有试样还应进行0.035MPa压力下的功能试验,并应符合6.7的规定。
6.12 溅水盘强度
喷头按7.12规定的方法进行试验,其溅水盘不应出现松动、脱落、永久变形和损坏。
6.13 热稳定性
玻璃球家用喷头按7.13规定的方法进行试验时,其玻璃球不应有任何损坏。本项试验后,所有试样还应进行0.035MPa压力下的功能试验,并应符合6.7的规定。
6.14 抗振动性能
按7.14规定的方法进行试验,喷头的构成部件应无松动和损坏。本项试验后,所有试样还应进行密封试验和0.035MPa压力下的功能试验,并应符合6.3.1和6.7的规定。
6.15 耐低温性能
按7.15规定的方法进行试验,试验后应符合下列三种规定中的一种:
a)家用喷头有明显的损坏、破裂;
b)家用喷头无明显损坏,进行密封试验时出现泄漏现象;
c)家用喷头无破裂、变形或损坏,所有试样进行密封试验符合6.3.1的规定,进行动态热试验,应符合6.17.3的规定。
6.16 耐高温性能
按7.16规定的方法进行试验,喷头体不应发生严重变形和损坏。
6.17 动态热性能
6.17.1 家用喷头按7.17.1规定的方法在标准方位进行试验时,其RTI和C应符合图1对快速响应喷头的规定。

6.17.2 按7.17.1规定的方法在偏离最不利方位25°进行试验时,RTI值不应超过在标准方位下测得的平均RTI值的250%。
6.17.3 按6.15、6.19~6.24的方法进行试验后,家用喷头应按7.17.1中规定的在标准方位下进行试验,RTI值不应超过试验前RTI平均值的130%,所有试验后的RTI值按7.17.3规定的方法,使用试验前的传导系数(C)进行计算。
6.18 耐氨应力腐蚀性能
按7.18规定的方法进行试验,家用喷头不应断裂、脱层或损坏。本项试验后的所有试样应进行密封试验和0.035MPa压力下的功能试验,应分别符合6.3.1和6.7的规定。
6.19 耐二氧化硫腐蚀性能
按7.19规定的方法进行试验,家用喷头不应产生腐蚀损坏。本项试验后试样应进行密封试验,0.035MPa压力下的功能试验和动态热试验(或热响应试验),并分别符合6.3.1、6.7和6.17.3(或6.27)的规定。
6.20 耐盐雾腐蚀性能
按7.20规定的方法进行试验,家用喷头不应产生腐蚀损坏。本项试验后试样应进行密封试验,0.035MPa压力下的功能试验和动态热试验 (或热响应试验),并分别符合6.3.1、6.7和6.17.3(或6.27)的规定。
6.21 耐潮湿气体腐蚀性能
按7.21规定的方法进行试验,家用喷头不应产生腐蚀损坏。本项试验后的所有试样应进行密封试验和0.035MPa压力下的功能试验,并分别符合6.3.1和6.7的规定。
6.22 抗碰撞性能
按7.22规定的方法进行试验,家用喷头应无破裂和变形。本项试验后试样应进行密封试验、0.035MPa压力下的功能试验和动态热试验 (或热响应试验),并分别符合6.3.1、6.7和6.17.3(或6.27)的规定。
6.23 抗翻滚性能
按7.23规定的方法进行试验,家用喷头应无破裂、变形或损坏。本项试验后试样应进行密封试验和动态热试验 (或热响应试验),并分别符合6.3.1、6.17.3(或6.27)的规定。
6.24 侧向喷洒
按7.24规定的方法进行试验,家用喷头应在正庚烷燃尽前动作,相邻的喷头不应妨碍其启动。
6.25 抗真空性能
按7.25进行试验,家用喷头不应出现变形、机械损坏或泄漏现象。本项试验后,所有试样进行密封试验,结果应符合6.3.1的规定。
6.26 30天密封性能
按7.26进行试验,家用喷头不应出现泄漏、变形或其他机械损坏。
6.27 齐平、嵌入、隐蔽式家用喷头的热响应性能
齐平、嵌入和隐蔽式家用喷头按7.27规定的方法进行试验,响应时间应符合以下规定:
a)每个家用喷头的响应时间不超过75 s;
b)进行6.19、6.20、6.22、6.23、6.24试验后,平均响应时间不应超过试验前平均响应时间的1.3倍。
6.28 灭火性能
6.28.1 家用喷头按7.28规定的方法进行试验,最多2只家用喷头启动,试验室门口的第3只喷头不应启动。
6.28.2 试验室内温度应满足以下要求:
a)吊顶下76 mm处最高温度不应超过315℃;
b)地面以上1.6 m处最高温度不应超过93℃,且任何连续2 min内的平均温度不应超过54℃;
c)吊顶表面后6 mm处吊顶材料最高温度不应超过260℃。
7 试验方法
7.1 初步检查
试验前,应提供详细的部件和装配图纸及相应的采用国际单位制说明书。除了规定的温度外,试验应在室温
条件下进行。喷头应按所有部件设计和安装要求进行试验。
标准中除注明的情况外,公差应符合附录C的规定。
7.2 外观检验
试验前,目测喷头,检查喷头与厂家图纸和说明书的一致性,以保证达到6.1和6.2的要求。
7.3 密封和水压强度试验
7.3.1 将10只家用喷头试样安装在试验装置上,使管路充满清水,排除管路中的空气。以(0.1±0.025)MPa/s的速率升压至3.0 MPa,保持压力3 min,然后降压至0 MPa。再在5 s内使压力从0 MPa升至0.05 MPa,保持压力15 s后,以(0.1±0.025)MPa/s的速率升压至1.0MPa,保持压力15 s后降压至0 MPa。试验过程中,每只试样均应符合6.3.1的规定。
7.3.2 继续对密封试验后的家用喷头进行水压强度试验,使管路充满清水,排除管路中的空气。以不超过2.0 MPa/min的速率升压至4.8 MPa,保持压力1 min,每只试样均应符合6.3.2的规定。
7.4 流量试验
试验样品为2只,将试样除去框架和溅水盘后安装在试验装置上。试验压力从0.05 MPa至0.65MPa,每间隔0.10 MPa测量喷头的流量。压力测量精度不应低于0.5级,流量测量精度不应低于1.0级。对于每一个试样,压力先从低升到高,至每一个测量点,再从高降到低,至每一个测量点。
将所测得的数据代入6.4.1中的公式(1)中,计算出每一压力点的K值和K的平均值,结果应符合6.4.2的规定。
在试验中应修正自压力表至喷头出口之间的静压差。
7.5 布水试验
家用喷头的设计长度及设计宽度参照表3中一种或多种,设计流量不应小于表3单喷头最小流量的要求。

7.5.1 平面布水性能 7.5.1.1 非边墙型喷头
试验室的面积应不小于7m×7m,取1只家用喷头安装于试验管路上,试验布置见图2。家用喷头轭臂应与供水管平行。吊顶与直立或下垂型家用喷头溅水盘之间的距离为100 mm。

齐平、嵌入、隐蔽式家用喷头应取其最嵌入的位置安装在吊顶上,吊顶位于试验室的中央。喷头通过三通或弯头直接安装在水平管路上,或通过长度不小于150 mm的DN25直管和变径联接在水平管路上。在设计流量下进行试验。
喷头洒水由正方形集水盒测量,集水盒的边长为300mm,吊顶距集水盒上边缘的距离为2.4m,集水盒布置在设计保护面积的1/4的区域,试验集水时间不应少于10 min。
试验结果应符合6.5.1.2的规定。
7.5.1.2 边墙型喷头
试验室的面积应不小于7m×7m,取1只边墙型家用喷头进行本项试验。试验布置见图3。吊顶距边墙型家用喷头溅水盘之间的距离为100mm。

齐平、嵌入、隐蔽式边墙型家用喷头应取其最嵌入的位置,安装在高度2.4 m墙上。在设计流量下进行试验。
喷头洒水由正方形集水盒测量,集水盒的边长为300 mm,吊顶距集水盒上边缘的距离为2.4 m。集水盒布置在设计保护面积一半的区域,试验集水时间不应少于10 min。
试验结果应符合6.5.1.3的规定。
7.5.2 墙面布水性能
试验室长度为设计长度,宽度为设计宽度,取1只家用喷头安装于试验管路上,非边墙型家用喷头轭臂应与供水管平行,试验布置见图4。边墙型家用喷头,试验布置见图5。


吊顶与直立或下垂型家用喷头溅水盘之间的距离为100 mm。
齐平、嵌入、隐蔽式家用喷头应取其最嵌入的位置安装在吊顶上,吊顶位于试验室的中央。在设计流量下进行试验。
喷洒到每面墙上的水由正方形集水盒测量,集水盒的边长为300 mm。集水盒沿设计长度和设计宽度紧贴墙放置在地面上,吊顶距集水盒上边缘的距离为2.0m。应进行遮挡以避免喷洒水直接进入集水盒,并确保喷洒到墙面上的水全部收集到墙下的集水盒中,试验集水时间不应少于10min。
喷洒完成后,测量每面墙集水量与墙打湿高度,试验结果应符合6.5.2的规定。
7.6 静态动作温度试验
7.6.1 试验在液浴中进行,公称动作温度不高于79℃的喷头在水浴(宜采用蒸馏水)中进行,公称动作温度高于79℃的喷头在油浴中进行。试验液浴的温度应均匀,试验区域内的温度偏差不得超过0.5℃。喷头动作温度的测量采用二等标准水银温度计。
7.6.2 将至少20只家用喷头试样在升温速率不超过20℃/min的条件下,从室温加热到低于其公称动作温度
,并保持此温度10min。然后以 (0.5±0.1)℃/min速率升温,直至喷头动作。记录喷头的动作温度,试验结果均应符合6.6的规定。
7.7 功能试验
7.7.1 喷头试样按其正常安装位置进行安装。试验箱的热源采用气体燃料,试验箱内靠近喷头处的温度应能在3min内达到(400±20)℃。
7.7.2 在0.035MPa、0.35MPa和1.20MPa压力下,分别取8只喷头试样按其正常安装位置进行功能试验。试样启动后,试验水流压力应不低于上述启动前压力的75%。当释放机构中的零件或热敏感元件的碎片滞留在溅水盘框架组件上超过6.7规定的时间,即认为发生沉积现象。
每一个试样的试验结果均应符合6.7的规定。
7.8 水冲击试验
将5只试样按工作位置安装在试验装置上,向试验管路中充水排出空气,然后进行3000次压力从(0.4±0.1)MPa至
的交变水压试验。每次试验的周期不应大于2s。
在试验过程中,检查每个试样的渗漏情况。试验后所有喷头试样还应进行密封试验和0.035MPa压力下的功能试验,试验结果应符合6.8的规定。
7.9 工作载荷的确定和框架强度试验
7.9.1 至少取10只喷头试样用以测量工作载荷。将试样在室温下牢固地安装于试验装置上,在喷头的入口施加1.2MPa的压力。
7.9.2 使用分辨率为0.001mm的变形测量仪表测量喷头承载点间的长度变化。应避免喷头螺纹与固定件之间的位移。
7.9.3 以适当的方法除去喷头的热敏感元件,当喷头温度恢复至室温后,再次测量变形。
7.9.4 以不超过500N/min的加压速率向喷头施加机械载荷,直至喷头框架变形数值回到加1.2MPa压力时的数值,此机械载荷即为该试样的工作载荷。计算10只试样的平均工作载荷。
7.9.5 对上述10只喷头以不超过500N/min的加压速率给喷头试样施加两倍平均工作载荷的机械载荷,保持此载荷 (15±5)s后卸去载荷。记录框架的永久变形,应符合6.9.2的规定。
7.10 热敏感元件的强度试验
7.10.1 热敏感元件设计载荷的确定
使用在7.9中确定的喷头工作载荷计算出施加在喷头热敏感元件上的力,即热敏感元件的设计载荷。当热敏感元件的设计载荷不能通过计算得出时,可采用适当的方法直接测量热敏感元件的设计载荷。
7.10.2 玻璃球
7.10.2.1 每种类型、每种温度等级的玻璃球至少取15只试样进行试验。将试样安装于试验装置上,试验装置的玻璃球支撑件可使用喷头上的支撑件或生产商提供的专用支撑件。以150N/s~250N/s的加压速率给玻璃球施加平稳载荷,直至玻璃球破碎。
7.10.2.2 每次试验使用新的玻璃球支撑件,可对支撑件进行外部加固以防止试验失败,但不得影响玻璃球原有的受力状况。
7.10.2.3 记录每只玻璃球的破碎载荷,破碎载荷测量值应精确到1N。
7.10.2.4 计算玻璃球平均破碎载荷和玻璃球破碎载荷的下限误差TL1,计算玻璃球设计载荷的上限误差TL2(参见附录D),结果应符合6.10.1的规定。
7.10.3 易熔元件
7.10.3.1 至少取10只易熔元件试样,使其承受15倍的易熔元件最大设计载荷历时100h,试验结果应符合6.10.2的规定。与评价易熔元件无关的非正常损坏可不考虑。
7.10.3.2 至少取10只易熔元件试样,使其分别承受不同的载荷,载荷值从易熔元件最大设计载荷Ld至15倍易熔元件最大设计载荷,使易熔元件试样在1000h之内和之后损坏(参见附录E),应去除非正常的损坏。用最小二乘法绘制全对数回归曲线,从曲线得出试样1h损坏时的载荷L0和1000h损坏时的载荷Lm,试验结果应符合6.10.2的规定。
7.11 疲劳试验
本项试验使用4只玻璃球家用喷头试样,每只喷头试样重复进行4次试验。
试验在液浴中进行,公称动作温度不超过79℃的喷头采用水浴(宜用蒸馏水),公称动作温度高于79℃的喷头使用油浴(适当的油)进行试验。将试样置于液浴中,升温速率不超过20℃/min,使温度从(20±5)℃升至低于其公称动作温度 (20±2)℃,然后使液浴温度以1℃/min的速率升温直至玻璃球的气泡消失或低于公称动作温度5℃。将喷头从液浴中取出,使其在空气中冷却,直至玻璃球气泡重新出现。在冷却过程中,玻璃球的尖端(封口端)应指向下方。
疲劳强度试验后的所有试样进行0.035MPa压力下的功能试验,试验结果应符合6.11的规定。
7.12 溅水盘强度试验
将喷头试样按正常安装位置安装在7.7规定的试验装置上,在1.20MPa水压下进行试验。喷头启动后调节水压至1.2MPa,连续洒水15min,试验结果应符合6.12的规定。
7.13 热稳定性试验
7.13.1 试验前将5只玻璃球家用喷头试样置于(20±5)℃的环境中不少于30min。
7.13.2 将喷头浸入液浴内,液浴的温度为低于喷头公称动作温度(10±2)℃,液浴试验区域的温度偏差不得超过±1℃。5min后将喷头从液浴中取出,使玻璃球尖端(封口端)朝下,立即浸入(10±1)℃的液浴中。
试验后的所有试样进行0.035MPa压力下的功能试验,试验结果应符合6.13的规定。
7.14 振动试验
7.14.1 将5只家用喷头试样垂直安装于试验台面上,沿喷头联接螺纹的轴线方向进行正弦振动。振动的频率为35Hz,振幅为1mm,振动时间为120h。
7.14.2 家用喷头应以5min/oct,1mm的振幅(1/2峰值),频率为5Hz~40Hz连续振动,如果出现1个或多个共振点,喷头应在其每个共振频率下振动120h;如果未出现共振点,喷头应在5Hz~40Hz连续振动120h。
7.14.3 振动试验后,所有试样进行密封试验和0.035MPa压力下的功能试验,试验结果应符合6.14的规定。
7.15 低温试验
将5只家用喷头分别连接在1只长度100mm,直径25mm的钢管上。每只钢管完全充满水,用管堵密封。放置在低温试验箱内,在 (-30±2)℃温度下放置24h。试验结果应符合6.15的规定。
7.16 耐高温试验
将两只去掉动作机构的家用喷头,按其正常工作位置放入(800±20)℃的试验箱中,历时15min。然后夹持家用喷头的螺纹处将其从试验箱中取出,立即放入(15±2)℃的水中,试验结果应符合6.16的规定。
7.17 动态热试验
7.17.1 插入试验
本项试验在(20±5)℃的环境温度中进行。用某一温度等级的喷头试样,在标准方位和偏离最不利方位25°各进行10次插入试验,其他温度等级的喷头,每种取10只试样进行标准方位的插入试验。每种方位的RTI值按7.17.3和7.17.4规定的方法计算。
插入试验时喷头的固定基座应使用黄铜制作,应保证在每一个独立的插入试验中,历时55s的试验期间固定座或水的温升不超过2℃(固定座的温升采用热电偶进行测量,测点嵌入基座内从内螺纹根部径向向外不超过8mm,或将热电偶置于喷头入口内中心部的水中)。
进行试验的喷头应在接口螺纹上缠1至1.5圈的聚四氟乙烯带,拧入固定座的力矩为(15±3)N•m。将每只喷头安装在风洞试验盖上,并将其保存在恒温箱内,以使喷头和盖达到环境温度的时间不少于30min。
在试验前,应将至少25mL达到环境温度的水引入喷头入口,并施加0.035MPa的压力。
用精度为±0.01s的计时仪器测量从喷头插入风洞到其动作的时间即响应时间。
试验采用风洞进行,在试验段(喷头部位)按表4调节选取相应的气体流速及温度范围。为了使试样(热敏元件)和限流边界(风洞壁)之间的热辐射交换尽量减小,应在设计上保证试验段热辐射效果不超过RTI计算值的±3%。
应测量并控制风洞中气流的温度和流速,在整个试验过程中,风洞试验段的控温精度为±2℃;流速的控制精度为±0.03m/s。

7.17.2 传导系数(C)的确定
传导系数C采用7.17.2.1或7.17.2.2所述的方法测量确定。
7.17.2.1 反复插入试验
反复插入试验是确定C的一个重复过程,试验必须使用未使用过的喷头试样。即使试样在反复插入试验中未动作,也必须换用新试样进行试验。
试验时,喷头试样处于标准方位。在试样接口螺纹处缠1至1.5圈聚四氟乙烯带,将其拧入固定座,扭矩为(15±3)N•m。将每只待试喷头安装于风洞试验盖上,并将其保存在恒温箱内以使喷头和盖达到环境温度的时间不少于30min。
试验前,将至少25mL达到环境温度的水引入喷头入口,并施加0.05MPa的压力。
使用精度为±0.01s的计时仪器测量从喷头插入风洞到其动作的时间,即响应时间。
固定座的温度在试验期间应保持在(20±0.5)℃。在风洞试验段喷头位置,气体流速应保持在选择流速的±2%之内。试验期间气体温度的选择和控制精度应符合表5的要求。
应选择合适的气流速度,以使试样在两个连续的速度之间启动。即必须选择两个流速,在低速(UL)时,试样在15min试验期间内不能启动,而在下一个较高的速度(UH)时,在15min内试样必须启动。如果喷头在最高流速还未动作,应从表5中选择下一较高温度级的气体温度。
试验流速的选择应满足:
(UH/UL)0.5≤1.1
试样的C值为使用公式(5),在两个速度下计算出的数值的平均值:
C=(△Tg/△Tea-1)U0.5 .........................(5)
式中:
△Tg——实际气体温度减去固定座温度(Tm),单位为摄氏度(℃);
△Tea——平均液浴动作温度减去固定座温度(Tm),单位为摄氏度(℃);
U——试验段实际气流速度,单位为米每秒(m/s)。
通过一组试验测量并确定三个C值,然后计算三个C值的算术平均值做为喷头的C值。这个C值被用来计算所有标准方位的RTI值。
如果确定的C值小于0.5(m/s)0.5可假设C为0.5(m/s)0.5来计算RTI值;

7.17.2.2 等速率升温试验
等速率升温试验在风洞试验装置中进行,喷头固定端温度的要求与插入试验相同,喷头试样不需预热。
取10只喷头试样在标准方位进行试验。将喷头插入流速为(1±0.1)m/s的气流中,试验初始气流的温度为该喷头的公称动作温度。
气温以(1±0.25)℃/min的速率上升,直至喷头动作。试验应控制和记录气体的流速、喷头固定端的温度和喷头的动作温度。
C值的计算公式(6)与7.17.2.1中的公式相同,即:
C=(△Tg/△Tea-1)U0.5 ........................(6)
式中:
△Tg——喷头的动作温度减去固定座温度(Tm),单位为摄氏度(℃);
△Tea——平均液浴动作温度减去固定座温度(Tm),单位为摄氏度(℃);
U——试验段实际气流速度,单位为米每秒(m/s)。
取10只试样C值测量值的平均值作为喷头的C值。
此试验方法适用于所有温度等级的家用喷头。
7.17.3 RTI值的计算
RTI的计算公式(7)如下:

式中:
tr——喷头响应时间,单位为秒(s);
u——风洞试验段的实际气体流速(取自表5),单位为米每秒(m/s);
△Tea——喷头的平均液浴动作温度减去环境温度,单位为摄氏度(℃);
△Tg——试验段的实际气体温度减去环境温度,单位为摄氏度(℃);
C——按7.17.2规定的方法确定的传导系数,单位为毫米每秒的二分之一次方(m/s)0.5。
7.17.4 偏离最不利方位时RTI的确定
偏离最不利方位RTI值的计算需使用偏离最不利方位的C值,这个C值比标准方位的C值大一个倍数,此倍数等于偏离最不利方位RTI值的平均值与标准方位RTI值平均值的比值。因此,插入试验中的表达式变为偏离最不利方位RTI值的隐函数,可通过叠代解出偏离最不利方位的RTI值。
7.18 氨应力腐蚀试验
取5只喷头进行试验。每只试样的入口用与氨水溶液不反应的材料(如塑料)制成的盖密封,将试样除去油脂置于试验箱中。将密度为0.94g/cm³氨水溶液存放在试验箱的底部,距试样的下部约40mm。按0.01mL/cm³向试验箱中加入氨溶液,大约产生如下的气体组分:35%的氨,5%的水蒸气和60%的空气。
潮湿的氨混合气体应保持在大气压力下,试验箱内温度保持在(34±2)℃。采取适当的措施防止试验箱内压力高于大气压力,喷头试样应有防护罩以防止凝滴落于其上,试验历时10d。
试验后将喷头试样冲洗干燥,进行仔细地检查。随后进行1.2MPa历时3min的密封试验和0.035MPa压力下的功能试验,结果应符合6.18的规定。
7.19 二氧化硫腐蚀试验
取10只喷头进行试验。将喷头试样的入口用与二氧化硫不反应的材料(如塑料)制成的盖密封。
将喷头试样按其工作位置挂在试验箱内防滴罩的下面,试验箱按体积比每24h加入1%的二氧化硫。试验箱内温度保持在45℃±3℃。应保护喷头样品不受冷凝液滴的损害。无涂层喷头进行8d的腐蚀试验,有涂层喷头进行16d的腐蚀试验。8d后将喷头从容器中取出,对于有涂层的喷头,经过清理容器后,重复上述过程,进行第二个周期试验。
无涂层喷头经过8d,或有涂层喷头经过16d试验后,取出试样,在温度不超过35℃,相对湿度不超过70%的条件下干燥4d~7d。
干燥后,所有试样进行密封试验。然后,5只喷头在0.035MPa压力下进行功能试验。另5只喷头按7.17.1进行动态热试验,或对齐平、嵌入和隐蔽式家用喷头按7.28进行热响应试验,结果应符合6.19的规定。
7.20 盐雾腐蚀试验
试验在盐雾试验箱中进行。使质量比为20%的氯化钠盐溶液雾化形成盐雾,盐溶液的密度为1.126g/mL~1.157g/mL,pH值为6.5~7.2。
将10只喷头试样从入口充入蒸馏水,在螺纹处用与盐雾不反应的材料(如塑料)制成的盖密封,按正常的安装位置支撑或悬挂在盐雾试验箱的试验区,试验区的温度应保持在(35±2)℃,喷雾压力在0.07MPa~0.17MPa之间。使用过的盐溶液应收集起来,不得循环使用。应将试样蔽护以防凝滴落在其上面。
在试验区内,应至少从两点收集盐雾以确定雾化速率和盐浓度。在连续16h中,收集区内每80cm²面积每小时应能收集到1mL~2mL盐溶液,盐溶液的质量浓度应为(20±1)%。
经过10d的试验后将喷头从盐雾试验箱中取出,在温度为(20±5)℃,相对湿度不超过70%的条件下干燥4d~7d。干燥后,所有试样进行密封试验。然后,5只喷头在0.035MPa压力下进行功能试验。另5只喷头按7.17.1进行动态热试验,或对齐平、嵌入和隐蔽式家用喷头按7.28进行热响应试验,结果应符合6.20的规定。
7.21 潮湿空气试验
本项试验在湿热试验箱中进行。将10只喷头试样安装在具有多个接口的管段上,管内充满去离子水,将整个管段(及喷头)放入湿热试验箱中。试验箱内的相对湿度为 (98±2)%,温度为 (95±4)℃。可选择同型号、同种形式较高温度等级的喷头进行本项试验以评价较低温度等级的喷头。
经过90d试验后,将喷头从湿热试验箱中取出,在温度为 (20±5)℃,相对湿度不超过70%的条件下,干燥4d~7d。干燥后,所有喷头应进行密封试验及0.035MPa压力下进行功能试验,结果应符合6.21的规定。
7.22 碰撞试验
本项试验箱要5只喷头,使一个重物沿喷头中心轴线落于溅水盘一端进行碰撞。对于带有运输护罩的喷头,如果只有当喷头完全安装完毕后才摘下护罩,则应带着护罩进行碰撞试验。在碰撞点落物的能量应等于与被试喷头同重的物体从1m高度落下时的冲量。应避免落物多次碰撞被试喷头。碰撞试验后按7.3.1进行密封性能试验,然后按7.17.1规定的方法进行动态热试验,或按7.27规定的方法对齐平、嵌入和隐蔽式家用喷头进行热响应试验,结果应符合6.22的规定。
7.23 翻滚试验
本项试验需要5只喷头,带有运输护罩的喷头,要带着护罩进行翻滚试验。喷头分别放置在正六棱柱形试验滚筒内。滚筒沿回转轴方向长为254mm,六边形平面平行边之间相距305mm。每一次试验,筒内装1只喷头和5个木块。木块为38mm×38mm×38mm的硬木立方体。滚筒以每秒一圈的速率绕其轴旋转3min。试验后,样品从滚筒内取出,检查损坏情况,按7.3.1进行密封试验,然后按7.17.1规定的方法进行动态热试验,或对齐平、嵌入和隐蔽式喷头按7.27进行热响应试验,结果应符合6.23的规定。
7.24 侧向喷洒试验
7.24.1 将1只直立或下垂型喷头安装在试验管线上,在同一水平面上与被试喷头相距2.4m(中心与中心之间),安装一只同型号、同规格的已开启喷头。喷头分别安装在独立的相互平行的管线上,喷头的框架所在平面与管线平行,溅水盘位于吊顶下允许距顶的最大距离。水从已开启的喷头中洒出,工作压力为0.69MPa,当水流稳定后,点燃位于被试喷头正下方的油盘。油盘为正方形,边长300mm,深100mm,上边缘距喷头热敏感元件150mm,盘内放有0.47L正庚烷。
7.24.2 在喷头框架所在平面与管线垂直的情况下,重复上述试验。
7.24.3 喷头溅水盘位于吊顶下允许距顶的最小距离,重复上述两个试验。
7.24.4 所有试验结果均应符合6.24的规定。
7.25 真空试验
在环境温度为(20±5)℃条件下,将5只喷头从其入口逐渐增加负压,直至460mm汞柱,保持此压力1min。所有试样还应进行密封试验,结果应符合6.25的规定。
7.26 30天密封试验
在环境温度为(20±5)℃条件下,将5只家用喷头安装在充满水的试验管路中,在2.0MPa的压力下保持30天。
至少每周观察一次喷头密封状况。30天试验后,所有样品应满足6.26的规定。
7.27 齐平、嵌入、隐蔽式家用喷头热响应试验
7.27.1 每种型式家用喷头至少取10只试样进行试验。
7.27.2 将试样按其最隐蔽的位置安装在4.6m×4.6m的封闭试验室内中央的吊顶上,喷头沿吊顶对角线安装,喷头距沙箱燃烧器所在的房间角落5.1m。边墙型喷头安装于沙箱燃烧器角落对面墙上的中点。吊顶高2.4m,每只喷头入口充入(20±5)℃的清水,水压0.03MPa。喷头在安装和试验时不得阻碍气流流过护罩。
7.27.3 热源为置于试验室一角地面上的沙箱燃烧器,沙箱燃烧器的外形为300mm×300mm×300mm,燃料为天然气。燃料的流量为14.6m³/h,天然气的热值为(37600±1000)kJ/m³。亦可使用具有高热值的其他气体,通过调节流量得到等效的热量输出。
7.27.4 点燃燃烧器,当在房间中央吊顶下25mm处测量的环境温度为(31±1)℃时,开始计时,记录喷头动作时间;结果应符合6.27的规定。
7.28 火灾试验
7.28.1 试验室
7.28.1.1 对非边墙型喷头,试验室长度为喷头设计长度的2倍,宽度为喷头设计宽度,高度2.4m。对边墙型喷头,试验室长度为喷头设计长度的1.5倍加上2.7m,宽度为喷头设计宽度,高度2.4m。
7.28.1.2 每次试验,火源正上方吊顶安装新的纤维板。板尺寸为1.2m×1.2m,厚度12mm,密度(216±24)kg/m³。火源位置的墙角地面上放置一块水泥板,尺寸为1.2m×1.2m,厚度为6mm。
7.28.1.3 试验室对面墙设有两扇门,门高度2.2m。
7.28.1.4 每次试验,火源所处试验室墙角两面墙上,用木板条各固定一块新的杉木三层胶合板。胶合板尺寸为1.2m×2.4m,厚度6mm,纵向布置。试验前,胶合板应在(20±5)℃和相对湿度 (50±10)%环境下至少72h。根据GB/T 16172,杉木三层胶合板应符合以下燃烧特性:
a)单位面积热释放率最大值:(15±3)kW/m²;
b)热反应参数:(220±50)kW•(s1/2)m²。
7.28.2 试验布置
7.28.2.1 火源由木垛和模拟家具组件组成。木垛由油盘中正庚烷点燃,模拟家具组件由两根150mm长,直径6.5mm浸有正庚烷的棉绳点燃,正庚烷为商业级并有以下特性:
a)初馏点:90℃;
b)50%:93℃;
c)干点:96.5℃;
d)相对密度(15.6℃/15.6℃):0.719;
e)雷德(Reid)蒸发压:0.015MPa;
f)分析辛烷等级:60;
g)发动机辛烷等级:60。
7.28.2.2 木垛尺寸为300mm×300mm×150mm,由相互正交的4层杉木条组成,每层有4根木条,均匀分布,木条的尺寸为38mm×38mm×300mm,质量为(2.8±0.4)kg。将组装好的木垛放置在干燥箱中进行干燥,施加(104±5)℃的温度,时间48h,然后,木垛装入塑料包内,在室温下至少4h。
7.28.2.3 钢制油盘尺寸为300mm×300mm×100mm,木垛放在油盘上,油盘放置在试验室墙角的地面上,木垛距每面墙的距离为50mm。
7.28.2.4 模拟家具组件由两块聚乙烯泡沫垫子组件组成,泡沫垫子尺寸为800mm×750mm×75mm,密度为(29±2)kg/m³。根据GB /T 16172,在30kW/m²热流下,聚乙烯泡沫应有以下燃烧特性:
a)热释放率峰值(HRR):(230±50)kW/m²;
b)燃烧热:(22±3)kJ/g。
用泡沫胶粘剂把每个泡沫垫子粘在尺寸为850mm×800mm×12mm的胶合板上。粘贴后,胶合板两侧各留有12.7mm,底部留有25mm空间。沿组件一端,在底部25mm空间处水平放置浸有正庚烷的棉绳。试验前,垫子组件在(20±5)℃,相对湿度 (50±10)%条件下,放置至少24h。垫子组件用钢架在垂直方向支撑。
7.28.2.5 每次试验,两个泡沫垫子组件放在水泥板上,每个泡沫垫子与对面墙平行,距对面墙距离1m。
7.28.2.6 共安装4只热电偶。如图6、图7a)及图7b)所示,1只位于木垛上部吊顶表面后6mm处,从墙角沿对角线偏移254mm;2只位于图中4、5位置的吊顶下76mm处;1只位于图中4位置的地面上1.6m处。
7.28.3 喷头安装
7.28.3.1 每次火灾试验,安装同型号规格、同温度等级的3只家用喷头。2只喷头在设计长度和设计宽度安装,第3只喷头位置距火源最远,靠近门处。喷头安装在DN25mm管道上。
7.28.3.2 非边墙型喷头进行2次试验,第一次试验时喷头轭臂与纵墙平行;第二次试验喷头轭臂旋转90°。下垂型家用喷头的溅水盘距吊顶76mm。试验布置见图6。
7.28.3.3 齐平、嵌入式与隐蔽式喷头按其正常工作位置安装,且不得阻碍气流流过护罩。
7.28.3.4 边墙型喷头进行2次试验,分别按照图7a)和图7b)布置要求进行1次试验,溅水盘位于吊顶下100mm。

7.28.4 试验程序
7.28.4.1 每次试验前,将试验室保持在(24±8)℃环境中。试验室地面、墙面和吊顶都无水。试验室的两扇门保持在全开状态。
7.28.4.2 试验前调节供水系统满足2只试验家用喷头的设计流量和设计压力要求。
7.28.4.3 油盘内加入0.5L水和0.25L正庚烷。点燃油盘内正庚烷后,立即点燃棉绳,引燃模拟家具组件。
7.28.4.4 每个热电偶区域的温度始终得到记录。自点火起,试验进行30min。试验过程中,如果所有火焰熄灭,试验可以终止。试验结果应符合6.28的规定。


8 检验规则
8.1 检验分类 8.1.1 出厂检验
所有喷头成品出厂前必须按表6的规定进行出厂检验。
8.1.2 型式检验
有下述情况之一者,应按表6的规定进行型式检验:
a)正式生产后,产品的结构、材料、工艺、重要部件中任何一项有较大改变,可能影响产品性能时;
b)产品停产超过一年恢复生产时;
c)产品转厂生产或异地搬迁生产时;
d)国家质量监督机构或管理部门提出进行型式检验要求时。

8.2 组批
同种工艺,相同的材料及配件组装或生产的同型号、同规格的产品为一批。
8.3 抽样
8.3.1 检验样品的抽取应采用随机抽样的方法,抽样基数不宜少于检验样品数量的2倍。
8.3.2 家用喷头型式检验的试验程序和样品数量如图8所示。

8.4 判定准则
8.4.1 对于所有类型的家用喷头,若6.1、6.3、6.5、6.6、6.7、6.17、6.18、6.21、6.22、6.26、6.28中任一条不合格,则判该批家用喷头不合格;齐平、嵌入或隐蔽式喷头6.27不合格,亦判该批家用喷头不合格。
8.4.2 若6.2、6.4、6.8、6.9、6.11、6.13、6.14、6.15、6.16、6.19、6.20、6.22、6.24各条中有两条或两条以上不合格,则判该批家用喷头不合格。
8.4.3 第6章的各条中有四条或四条以上不合格,则判该批家用喷头不合格。
8.4.4 其余情况可判该批家用喷头合格。
9 标志、使用说明
9.1 标志
9.1.1 家用喷头的标志应符合6.2.3的要求。
9.1.2 隐蔽式或嵌入式家用喷头的护罩或装饰盖板如果可与喷头拆离,应在其上面标明与之配套的喷头的型号、规格。
9.1.3 隐蔽式喷头的盖板上应标有“不可涂覆”的字样。
9.2 使用说明书
家用喷头产品在其基础包装中应附有使用说明书,使用说明书中至少应包括产品名称、型号规格、动作元件的类型和规格、使用的环境条件、贮存的环境条件、生产年代、产品生产所依据的标准、必要的使用参数、使用说明、注意事项、生产厂商的名称、地址和联络信息等。
家用喷头的使用参数应包括以下内容:
a)设计长度和设计宽度;
b)设计流量;
c)流量系数;
d)喷头安装间距;
e)装位置;
f)喷头溅水盘距吊顶、墙的最大与最小距离。
10 包装、运输、贮存
10.1 包装
10.1.1 家用喷头在包装箱内应单独固定,防止相互间的磕碰。
10.1.2 产品包装中应附有使用说明书和合格证。
10.1.3 家用喷头在包装箱外应标明放置方向、堆放件数限制、贮存防护条件等。
10.2 运输
家用喷头在运输过程中,应防雨、防晒、减震,装卸时防止撞击。
10.3 贮存
家用喷头应贮存在-15℃~40℃的干燥环境中。
附录A(资料性附录)本部分章条编号与ISO6182 :2006章条编号对...
表A.1 给出了本部分章条编号与ISO6182-10:2006章条编号对照一览表。



附录B(资料性附录)本部分与ISO6182 :2006技术性差异及其原因
表B.1 给出了本部分与ISO6182-10:2006技术性差异及其原因的一览表。


附录C(规范性附录)公差
标准中未标明公差时,按以下规定执行:
a)角度:±2°;
b)频率(Hz):测量值的±5%;
c)长度:测量值的±2%;
d)容积:测量值的±5%;
e)压力:测量值的±3%;
f)温度:测量值的±5%;

附录D(资料性附录)误差限的计算方法
7.10.2 所述的玻璃球非偏标准偏差和误差限的计算方法如下:
1)计算非偏标准偏差
非偏标准偏差由下式计算:

式中:
x——载荷的平均值,单位为牛 (N);
x1——每一个测得的载荷值,单位为牛(N);
n——试样的数量。
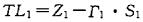
2)计算玻璃球破碎载荷下限误差TL1
玻璃球破碎载荷下限误差
式中:
Z1——玻璃球破碎载荷的平均值,单位为牛(N);
——从表D.1中查得的系数;
S1——玻璃球破碎载荷的非偏标准偏差,单位为牛(N)。
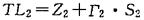
3)计算玻璃球设计载荷上限误差TL2
玻璃球设计载荷上限误差
式中:
Z2——玻璃球设计载荷的平均值,单位为牛(N);
——从表D.1中查得的系数;
S2——玻璃球设计载荷的非偏标准偏差,单位为牛(N)。
当TL1>2TL2,是可以接受的。

附录E(资料性附录)易熔元件强度试验的分析
6.10.2中给出的公式的目的是为了使易熔元件在承受了相当长时间的工作载荷后,仍不容易因蠕变应力而损坏。因为喷头的使用寿命受其他许多因素的影响,因此,876600h(100年)这个时间的选择仅仅是一个带有保险系数的数据值,而无其他特殊含义。
造成蠕变损坏的载荷(而不是不必要的高初始扭曲应力)被施加在试样上并记录施加的时间,给定的要求近似于通过下述分析得到的全对数回归曲线的推论。
使用最小二乘法,利用观察到的数据来确定1h时的载荷L0和1000h时的载荷Lm。一种确定这个载荷的方法如下:
在全对数坐标纸上作出曲线,由L0和Lm所确定的直线的斜率应大于或等于由100年时最大设计载荷Ld和L0所确定的直线的斜率。
即:

可化简为:

当允许误差为1%的时,以上公式可近似表示为:

经误差补偿后表示为:

