Appearance
《油气化工码头设计防火规范[附条文说明]》JTS 158-2019
🗓️ 住房和城乡建设部 实施时间:2020-01-01
前言
中华人民共和国行业标准
油气化工码头设计防火规范
JTS158-2019
主编单位:中交水运规划设计院有限公司
交通运输部公安局
批准部门:中华人民共和国交通运输部
施行日期:2020年1月1日
交通运输部关于发布 《油气化工码头设计防火规范》的公告 2019年第70号
现发布《油气化工码头设计防火规范》(以下简称《规范》)。《规范》为水运工程强制性行业标准,标准代码JTS158-2019,自2020年1月1日起施行,由交通运输部水运局负责管理和解释。《装卸油品码头防火设计规范》(JTJ237-99)同时废止。《规范》第5.2.1.2款、第5.2.2.5款为强制性条文,必须严格执行。
特此公告。
中华人民共和国交通运输部 2019年9月12日
本规范是根据“交通运输部关于下达2013年度水运工程标准编制计划的通知”(交水发[2013]462号)要求,由交通运输部水运局组织有关单位,在《装卸油品码头防火设计规范》(JTJ237-99)的基础上,通过深入调查和专题研究,总结我国近年来油气化工码头设计、建设、监管、运营操作的经验,广泛征求行业内外对现行规范的使用意见和建议,借鉴国外同类型码头防火标准及管理经验,结合我国油气化工码头建设发展需要制定而成。
《装卸油品码头防火设计规范》(JTJ23799)自发布实施以来,对油品码头设计和监管工作起到了重要的指导作用。随着近年来沿海及内河油品、液体化学品、液化天然气及液化烃类码头的多样化、大型化、专业化发展,规范的部分内容已不能适应我国油气化工码头设计和监管的需要,为进一步提高规范的适用性,贯彻以人为本、安全发展的理念,开展《油气化工码头设计防火规范》制定工作。
本规范共分8章2个附录,并附条文说明。主要内容包括总体布置、装卸工艺、建构筑物、消防、电气及通信等。
本规范中第5.2.1条、第5.2.2条的黑体字部分为强制性条文,必须严格执行。
本规范的主编单位为中交水运规划设计院有限公司和交通运输部公安局,参编单位为中交第一航务工程勘察设计院有限公司、大连港公安局、长江航运公安局南京分局。本规范编写人员分工如下:
1 总则:吴澎 潘海涛 郭舜丰
2 术语:潘海涛 吴澎 郭舜丰
3 基本规定:吴澎 潘海涛 郭舜丰
4 总体布置:杨国平 吴澎 李冰绯 潘海涛 姜俊杰 刘红宇 张浩强
5 装卸工艺:潘海涛 魏红彤
6 建构筑物:姜俊杰 潘海涛
7 消防:武守元 郭舜丰 陈刚 魏红彤 潘海涛 钱星 张良
8 电气及通信:林结庆 潘海涛
附录A:林结庆 魏红彤
附录B:张浩强
本规范于2018年5月14日通过部审,2019年9月12日发布,自2020年1月1日起施行。
本规范由交通运输部水运局负责管理和解释。请各单位在执行过程中,将发现的问题和意见及时函告交通运输部水运局(地址:北京市建国门内大街11号,交通运输部水运局技术管理处,邮政编码:100736)和本规范管理组(地址:北京市东城区国子监街28号,中交水运规划设计院有限公司,邮政编码:100007),以便修订时参考。
1 总则
1.0.1 为规范油气化工码头防火设计,预防火灾,减少火灾危害,保护人身和财产安全,制定本规范。
1.0.2 本规范适用于沿海和内河新建、改建和扩建的油气化工码头工程防火设计。不适用于装卸植物油、装卸桶装或罐装液体危险品码头和水上加油或加气站。
1.0.3 油气化工码头防火设计应遵循国家有关方针政策,做到以人为本、安全适用、技术先进、经济合理。
1.0.4 油气化工码头宜充分利用各方消防资源共用水陆域消防设施。
1.0.5 油气化工码头防火设计除应符合本规范的规定外,尚应符合国家现行有关标准的规定。
条文说明
1.0.2 规范制定系根据技术进步、经济发展水平、社会需求等不断改进,以此促进工程建设和管理水平的逐步提高。为进一步提高码头设计防火规范的适用性,贯彻以人为本的理念,根据实际运营情况、经济技术发展条件、应急管理要求,本次规范的制定在《装卸油品码头防火设计规范》(JTJ237-99)基础上扩大了涵盖范围,一定程度上提高了安全度,但并不意味按照《装卸油品码头防火设计规范》(JTJ237-99)建设的码头就存在安全问题。本规范原则上对按《装卸油品码头防火设计规范》(JTJ237-99)及以前版本设计、审批、建造及验收的工程无约束力,这类油气化工码头在改建或扩建过程中逐步提高其安全度。
1.0.4 根据港区总体规划原则,油气化工码头相对集中布局,集约化发展,结合消防火灾特点及施救情况,规划设计、建设和运营过程中根据区域内水陆域消防条件,通过协作方式实现消防资源共用、联防互保,也能降低消防设施建设和维护成本。
1.0.5 本规范规定了油气化工码头设计的防火和灭火要求,对于码头各类建筑、设备及材料的防火内容和性能要求,在具体设计中还要符合国家相关石油化工、建筑设计等工程建设技术标准的规定。
2 术语
2.0.1 油品 Oil
原油、凝析油、稳定轻烃和包括汽油、石脑油、煤油、柴油、燃料油等在内的石油产品。
2.0.2 液化天然气 liquefied Natural Gas
主要由甲烷组成的液态流体,并含有少量乙烷、内烷、氮和其他成分。在标准大气压力下,沸腾温度通常为-160℃~-162℃。简称LNG。
2.0.3 液化烃 Liquefied Hydrocarbon
15℃时的蒸气压力大于0.1MPa的烃类液体及其他类似的液体,包括液化石油气(LPG)。本规范所指液化烃不包括液化天然气。
2.0.4 液休化学品 Liquid Chemicals
除油品、液化天然气、液化烃以外的易燃和可燃液体。
2.0.5 油气化工码头 Oil&Gas and Chemical Terminals
装卸油品、液体化学品、液化天然气、液化烃在内的油气化工品码头的统称。
2.0.6 防火间距 Fire-prolection Dislance
发生火灾时为减少与相邻码头、船舶及陆上相关设施的相互影响和便于消防扑救而确定的间隔距离。
2.0.7 安全距离 Safe Distance
为减少周边重要设施安全风险而确定的与油气化工码头的间隔距离。
2.0.8 疏散通道 Evacuation Roule
供码头作业人员在紧急情况下安全撤离的陆上或水上通道。
2.0.9 工艺管道 Process Pipeline
输送易燃及可燃液体、可燃气体、液化天然气和液化烃的管道。
2.0.10 固定式水冷却和泡沫灭火方式 Fixed Water Cooling and Foam Extinguishing Methods
由固定的水和泡沫混合液供给设施、冷却水和泡沫混合液管线、水炮和泡沫炮等组成的灭火方式。
2.0.11 半固定式水冷却和泡沫灭火方式 Semi-fixed Water Cooling and Foam Extinguis-hing Methods
将泡沫混合液供给设施、冷却水和泡沫混合液管线、水炮和泡沫炮等固定某一部分,其余部分由移动设备临时相连的灭火方式。
2.0.12 移动式水冷却和泡沫灭火方式 Mobile Water Cooling and Foam Extinguishing Methods
由消防车、移动式泡沫产生器、水龙带、水枪和泡沫枪等组成的灭火方式。
2.0.13 移动消防设备 Mobile Fire Fighting Equipment
可临时接入消防水或泡沫混合液进行灭火或冷却的可移动式消防水炮、泡沫炮,以及水枪、泡沫枪等。
2.0.14 水幕系统 Water Curtain System
由冷却水喷头、管道和控制阀等组成的喷水阻火及隔热设施。
2.0.15 防火型围油栏 Fire Prevention Oil Boom
由难燃材料或进行阻燃处理的材料制作,用于围控水上浮油的漂浮栅栏。
2.0.16 国际通岸接头 International Shore Connection
用于将船方的消防总管与岸方消防水源相联接的国际标准接头。
2.0.17 监护 Fire Guard on Duty
在码头装卸作业时,消防船或拖消船在附近水域处于执勤戒备状态,可随时投入灭火作业。
2.0.18 值守 Fire Guard
在码头装卸作业时,消防船或拖消船处于待命状态,并具有接剑警报后30min内实施救助的能力。
2.0.19 明火地点 Open Flame Site
室内外有外露火焰或赤热表面的固定地点。
2.0.20 散发火花地点 Sparking Site
有飞火的烟囱或进行室外砂轮、电焊、气焊、气割等作业的固定地点。
条文说明
2.0.3 从理化特性界定,液化烃包括液化天然气(LNG)、液化石油气(LPG)、乙烯、丙烷和丁烷等烃类液体。本规范定义液化烃不包括液化天然气(LNG)是为便于分级确定液化天然气(LNG)与其他烃类液体的防火设计要求。
3 基本规定
3.0.1 油气化工码头装卸液化天然气、液化烃、易燃和可燃液休的火灾危险性分类,应按表3.0.1确定。

注:①操作温度超过其闪点的乙类液体,应视为甲B类液体;
②操作温度超过其闪点的丙A类液体,应视为乙A类液体;
③操作温度超过其沸点的丙B类液体,应视为乙A类液体;操作温度超过其闪点的丙B类液体应视为乙B类液体;
④闪点小于60℃但不低于55℃的轻柴油,操作温度≤40℃时,可视为丙A类液体。
3.0.2 油气化工码头防火等级应按设计船型的吨级分级,按表3.0.2确定。

注:①液化天然气、液化烃码头以船舶总吨GT分级;
②位于江、河入海口水域开阔的河口港可参照海港执行。
条文说明
3.0.1 本规范提出的液化烃、易燃和可燃液体的火灾危险性分类与现行国家标准《石油库设计规范》(GB 50074)、《石油化工企业设计防火规范》(GB 50160)和《建筑设计防火规范》(GB 50016)协调一致。码头装卸常见的液体化学品火灾危险分类列举见表3.1。

3.0.2 根据海港及河港现有码头和船舶吨级统计资料,以及不同吨级、不同货种码头的防火和灭火管理要求,提出码头防火设计的分级标准。
4 总体布置
4.1 一般规定
4.1.1 油气化工码头选址,应充分考虑装卸货种的火灾危险性和船舶靠离泊安全,选择在水域开阔位置。
4.1.2 油气化工码头应根据码头防火等级和装卸货种的火灾危险性设置防火、防爆、防泄漏和防止事故扩大、蔓延的安全设施。
4.1.3 油气化工码头宜布置在远离城市或港区的边缘区域。内河港口的油气化工码头宜布置在港区或重要水上设施的下游,当布置确有困难时,也可布置在港区上游。
4.1.4 油气化工码头不宜布置在人口密集区域等敏感区域的全年最大频率风向的上风侧,也不宜布置在明火地点或散发火花地点的全年最大频率风向的下风侧。
4.1.5 油气化工码头与军事设施、水利设施、核电站等重要设施的安全距离应按有关规定执行。
4.1.6 下列情况油气化工品装卸可共用泊位。
1 油品与液体化学品装卸可共用泊位。
2 液化天然气与液化烃装卸可共用泊位。
3 50000吨级及以下的油品泊位可兼顾常温液化烃装卸作业。
4 油气化工泊位可兼顾采用密闭管道输送的酸、碱等不燃液体装卸作业。
4.1.7下列情况油气化工品装卸不得共用泊位。
1 油品与液化天然气装卸不得共用泊位。
2 油品与低温液化烃装卸不得共用泊位。
3 液体化学品与液化天然气装卸不得共用泊位。
4 液体化学品与液化烃装卸不得共用泊位。
4.1.8 除第4.1.6条规定的情况外,不同油气化工品装卸共用泊位应经技术和安全论证。
4.1.9 油气化工泊位应独立设置,严禁与其他货种装卸共用泊位。
条文说明
4.1.1 在水域开阔位置选址有利于船舶安全进出港和紧急情况方便采取相应措施,并能保证在发生泄漏、爆炸和火灾等异常情况时,方便消防作业、布设防火型围油栏等设施采取其他防止后续灾害的措施,且能使周边船舶安全躲避和撤离。
4.1.3 一般情况下,港口总体规划均将油气化工码头布置在相对独立的港区内,位于市或港区的边缘地带,并远离其他重要设施或危险源,码头在选址论证时通过安全专项价,分析事故风险,提出选址建议和安全及环保措施,确定安全距离。
由于油气化工码头在发牛火灾或爆炸事故时,可能影响到周围码头的安全,因此,条强调油气化工码头在港口中合理布局的重要性。根据河港特点,油气化工码头优先虑布置在港口的下游,有利于港口的安全。
重要水上设施包括取水设施、桥梁、船闸、客运码头等。感潮河口按照主导流向来定上游和下游。
4.1.4 为减少周边可能引起火灾的潜在危险源对码头的影响和油气化工品泄漏后对边环境产生的影响,为此对油气化工码头与人口密集区的相对位置进行规定。
4.1.6~4.1.7 《装卸油品码头防火设计规范》(JTJ237-99)规定30000吨级及以下品泊位可与液化石油气共用一个泊位,液化石油气为常温压力式运输方式。随着船舶码头大型化,码头建设经营主体希望适当放宽共用泊位吨级的限制。根据近年来防火管实践经验,考虑岸线资源的集约化使用、码头多货种运营和安全现状等,通过船型和码头吨级统计分析,货种共用泊位的安全性论证,在广泛征求规划设计、行业管理单位和设运营单位意见的基础上,提出不同货种在同一泊位装卸的限制条件。允许共用泊位时该泊位的防火及灭火设计需要符合各自装卸货种的设计标准,共用泊位长度要求兼顾同货种船舶尺度,满足消防和安全系靠泊要求。
本条文所指常温液化烃是指在常温状态下通过加压变成液态的烃类。低温液化烃是指以通过降低储运温度为主要方式使其液化的烃类。酸、碱等不燃液体采用密闭管道输送,从防火安全角度不会对码头产生影响,此类货种允许在油气化工泊位上进行装卸船作业。
4.1.9 油气化工泊位所装卸的危险品货源相对稳定、装卸量大,单独设置专业化泊位是适宜的。如兼顾装卸油气化工品以外的散杂货、集装箱等其他货种或旅客,将会增加码头作业危险性,加大安全生产管理难度。另外,油气化工码头的建设发展具有专业化、大型化、集中化的特点,严格要求此类泊位独立设置有利于安全管理,集中布置和集约化运营。
4.2 总平面图布置
4.2.1 油气化工码头与锚地的安全距离,不应小于表4.2.1的规定。
4.2.2 海港甲、乙类油气化工码头在泊船舶与航道边线的净间距不宜小于100m;河口港和河港可根据实际情况适当缩小,但不宜小于50m。
4.2.3 油气化工码头与公路桥梁、铁路桥梁的安全距离,不应小于表4.2.3的规定。

注:表中安全距离是指码头设计船型在泊时船舶外轮廓线与锚地范围轮廓线之间的距离。

注:表中安个距离是指码头设计船型在泊时船舶外轮席线与公路桥梁、铁路桥梁结构外轮席线之间的距离。
4.2.4 油气化工泊位与其他货种泊位的防火间距应符合下列规定。
4.2.4.1 油气化工泊位与其他货种泊位的防火间距不应小丁表4.2.4的规定。

注:①防火间距是指油气化工泊位与其他货种泊位设计船型船舶间的最小净距;
②500吨级以下的油气化工泊位与其他货种泊位防火间距可取表中数值的50%;
③液化天然气泊位、液化烃泊位与客运泊位的防火间距按本表执行,与其他货种泊位的防火间距则应按照4.2.4.2款执行。
4.2.4.2 海港液化天然气泊位、液化烃泊位与油气化工品以外的其他货种泊位的防火间距,不应小于200m。河港液化天然气泊位、液化烃泊位与油气化工品以外的其他货种泊位的防火间距,不应小于150m。
4.2.4.3 甲类油气化工泊位与工作船泊位防火间距不应小于150m,乙类油气化工泊位与工作船泊位防火间距不应小于100m,丙类油气化工泊位与工作船泊位防火间距不应小于50m。对于油气化工码头附属的工作船停靠泊位,在采取等同生产泊位和船舶防火措施的前提下,防火间距可不受限制。
4.2.4.4 油气化工泊位与除工作船泊位之外的非生产性泊位的防火间距可按照与其他货种泊位的防火间距要求执行,与海事等水上保障系统基地的防火间距可按照客运泊位要求执行。
4.2.5 相邻油气化工泊位的船舶净间距应符合下列规定。
4.2.5.1 两相邻的油品或液体化学品泊位之间的船舶净间距不应小于表4.2.5规定的数值。

注:①船舶净间距是指相邻油气化工泊位设计船型船舶间的最小净距;
②相邻泊位设计船型不同时,其间距应按船长较大者取值。
4.2.5.2 两相邻的液化天然气、液化烃泊位或液化天然气泊位与液化烃泊位之间,其船舶净间距不应小于0.3倍最大设计船长,且不得小于35m。
4.2.5.3 液化天然气、液化烃泊位与汕品或液休化学品泊位相邻布置时,其船舶净间距不应小于0.3倍最大设计船长,且不得小于45m。
4.2.5.4 码头工作平台两侧或浮码头内外档停靠船舶的船舶净间距,液化烃和液化天然气泊位间的船舶净间距不应小于60m,甲B类油气化工泊位间的船舶净间距不应小于25m,乙、丙类油气化工泊位间的船舶净间距可不受限制。对于两侧装卸不同火灾危险性货物的船舶净间距,应按火灾危险性等级高的执行。
4.2.6 海港液化天然气码头与接收站储罐的防火间距不应小于150m。液化烃码头与陆上储罐的防火间距不应小于50m。其他油气化工码头与陆上储罐的防火间距不应小于表4.2.6规定的数值

注:①V指储罐单罐容量,单位为m3
②油气化工码头与陆上储罐的防火间距是指码头前沿线与储罐外壁的最小间距;
③当码头双侧靠船时,内档靠泊设计船型船舶外轮廓线与陆上储罐外壁的最小间距也应满足本表要求;
④陆上储罐不限于本码头配套的储罐,也包含相邻的其他油气化工品储罐;
⑤根据码头装卸工艺需要设置的排空罐、油气回收所需设置的吸液罐和凝液罐等,不受此距离限制。
4.2.7 油气化工码头的建(构)筑物外墙与码头前沿线防火间距不宜小于表4.2.7的规定。

注:①防火间距是指船长范围内码头前沿线和建(构)筑物之间的距离;
②内河浮码头趸船上相关建(构)筑物防火间距可按中国船级社《钢质内河船舶入级与建造规范》相关规定执行;
③对于采用棚式或露天式布置的转输泵和泄空泵等工艺泵站,其间距可不受限制;
④当建(构)筑物内有非防爆设备时,其位置应位于爆炸危险区域之外,否则建(构)筑物应采取达到非爆炸危险环境的安全措施。
4.2.8 油气化工码头的消防控制室宜设置在建筑物的顶层,布置应符合视线开阔、便丁监视和操作的要求。
条文说明
4.2.2 为防止过往船舶对作业中的油气化工品船舶带来不利影响,规定本条文。
4.2.4.1 油气化工码头防火间距的确定因素较复杂,首先考虑为防止和减少油气化工码头和在泊船舶火灾的发生,与周边码头、船舶及陆上相关设施要有一定的间隔;其次要考虑码头及船舶自身泄漏、火灾及爆炸对周边码头、船舶及陆上相关设施的影响;还要结合火灾案例考虑事故情况下的消防施救空间等。本规范调研过程中统计了已建海港及河港码头的防火间距执行情况,基本上都满足《装卸油品码头防火设计规范》(JTJ237-99)的要求。本规范制定过程中,开展了油品码头泄漏及火灾模型试验及案例专题研究工作,采用数值模拟方法对码头典型事故状态下的油品泄漏扩散、池火及管道爆炸进行模拟,分析泄漏扩散范围、热辐射范围和爆炸影响范围,对码头安全和防火间距进行量化分析。同时还对我国近年来建设的油品、液体化学品、液化烃和液化天然气码头的防火间距安全评估进行了分类统计。本规范综合上述分析,结合国家现行有关标准提出油气化工码头相关防火间距。
4.2.4.3 根据监管经验,按照码头防火等级对港区工作船专用泊位的防火间距做出相应规定。油气化工码头的工作船是指处于生产准备值班状态或停靠泊位状态的消防船和拖消船。
4.2.4.4 工作船泊位之外的非生产性泊位,考虑其作业特点及防火要求,规定其防火间距要求参照其他货种泊位标准执行。但对于海事等水上保障系统基地(含泊位),考虑其专业属性和运行要求,般均位于港区支持系统岸线范围内,从平面布局上与危险品港区留有一定的距离,为保障人身安全,其防火间距要求参照与客运泊位的防火距离执行。
4.2.5 船舶净间距主要考虑靠离船舶操作安全、系缆要求和作业过程中的防火间距,其相邻两泊位的净间距与设计船长有关。经调查及对相关资料分析,净间距与设计船长之比值在0.2~0.3为宜,同时考虑到船舶装载易燃或可燃液体,且惯性力大,船舶操纵较困难等特点,其相邻两泊位的船舶间距又需要比其他货种泊位相邻两泊位的船舶净间距加大一些较恰当,因此根据不同设计船长对船舶净间距做出规定。
4.2.6 油气化工品船舶与陆域储罐均有潜在的火灾危险,为防止相互间的影响,需要分类设置必要的防火间距,根据码头特点参照国家标准《石油库设计规范》(GB50074-2014)等进行制定。
4.2.7 《装卸油品码头防火设计规范》(JTJ237-99)制定过程中,针对码头附属的建(构)筑物和码头前沿线的防火距离,参照相关规范对消防泵房、变配电间做了要求。实际执行过程中,消防泵房和变配电间设置均能够按规范要求设置在防火间距之外,但由于缺少对消防控制室、泡沫间、工艺泵房这类码头建筑物的防火间距规定,也缺少对不同火灾危险性码头的分级要求,部分码头建设过程中将此类建筑物临近码头前沿线布置,增加了火灾事故情形下的人员及设备自身安全风险。本次规范的制定将此类防火距离集中做了分级分类规定,便于执行和管理。本条文中工艺泵站是指用于油气化工品转输的泵站。
4.3 工艺管道布置
4.3.1 工艺管道宜沿港区道路布置,不得穿越或跨越与其无关的易燃和可燃液体装卸设施、泵站等建(构)筑物。
4.3.2 工艺管道与消防水泵房、消防控制室、变配电间、泡沫间的间距小于15m时,朝向工艺管道一侧的外墙应采用无门窗的不燃烧体实体墙。
4.3.3 有车辆通行要求的引桥、引堤上的工艺管道和道路之间应设置隔离防护设施。
条文说明
4.3.2 本条内容参照国家标准《石油库设计规范》(GB50074-2014)进行制定。
4.3.3 隔离防护设施包括隔离墩和防撞护栏等。
4.4 其他要求
4.4.1 油气化工码头应设置疏散通道。
4.4.2 甲、乙类油气化工品的特级码头应设置快速脱缆装置。甲、乙类油气化工品的一级码头宜设置快速脱缆装置。
4.4.3 两相邻泊位的快速脱缆钩、系船柱应独立设置。
4.4.4 液化天然气海港码头和25万吨级及以上吨级油气化工码头,应设置激光靠泊、缆绳张力监测和作业环境监测系统。
条文说明
4.4.1 本次规范制定,结合调研需求,基于以人为本理念,提出了油气化工码头设置疏散通道的要求。由于不同码头平面布置型式差异性较大,尚难以给出统一和明确的要求。总体而言,疏散通道的设置要以码头出现火灾事故时人员能够安全快速撤离为基本要求,可以为水上疏散通道或陆上疏散通道。水上疏散通道则要求码头设置必要的人员撤离登船的设施。陆上疏散通道通常依托码头人行桥、巡检通道和接岸引桥(堤)的人行道(车行道),当设置专为人员通行使用的疏散通道时,宽度一般取不小于0.8m。码头运行时要加强管理保证疏散通道的畅通,设备设施和管线要按照设计规定的区域布置和使用,避免占用疏散通道。
4.4.2~4.4.4 在行业标准《装卸油品码头防火设计规范》(JTJ23799)和《海港总体设计规范》(JTS165-2013)相关规定的基础上,根据码头防火等级情况,分类提出码头安全附属设施配置要求。靠泊辅助系统主要对船舶靠泊时的移动速度、距离、夹角进行监测;缆绳张力监测系统:要对船舶系泊时所有缆维的受力状况进行实时监测,并具有缆继张力超限报警的功能;作业环境监测系统主要对船舶系泊时的风、浪、流、潮位等状况进行监测,并能在码头监控中心实时显示观测数值,当环境因素超过允许作业条件时,进行警报。
5 装卸工艺
5.1 一般规定
5.1.1 油气化工码头装卸工艺系统应具有防火、防爆、防静电、防泄漏和防止事故扩大的安全措施。
5.1.2 油气化工码头船舶洗舱水、液货舱压舱水接卸管道和含有易燃、可燃液体的污水管道系统,应与相应的工艺管道防火设计标准一致。
条文说明
5.1.2 规定此类管道与其对应的可燃、易燃液体输送管道的防火设计标准相同,以避免降低设计标准而引起安全问题。
5.2 装卸系统防火措施
5.2.1 油气化工码头应符合下列规定。
5.2.1.1 码头与装船泵站之间应有可靠的通信联络,有条件时宜设置启停联锁装置。
5.2.1.2 装船工艺不得采用从顶部向舱口灌装方式。
5.2.1.3 装卸臂应设置作业范围超限报警装置。
5.2.1.4 装卸臂与船舶管汇连接应配置快速联接器,装卸软管与船舶管汇联接宜配置快速联接器。
5.2.1.5 装卸甲A类和极度危害介质的码头装卸臂或软管端部,应设置在紧急情况下可切断管路并与船舶接口脱离的装置
5.2.1.6 装卸臂应配带绝缘法兰,装卸软管应配置不导电短管。
5.2.1.7 采用金属软管装卸作业时,应采取防止软管与码头面或甲板面摩擦碰撞产生火花的措施。
5.2.1.8 用于船舶油气回收的装卸臂、软管与码头收集管道之间应设置阻爆轰型阻火器。
5.2.1.9 装卸管道设计流速应控制在船舶或储罐的进液口要求的静电安全流速范围内。输送油品管道设计流速不应大于4.5m/s,液化烃的液相管道设计流速不应大于3.0m/s。
5.2.2 工艺管道系统应符合下列规定。
5.2.2.1 码头工作平台、引桥及引堤段工艺管道应明装敷设。陆域工艺管道宜地上敷设或采用敞口管沟敷设,局部受地形限制可埋地敷设或者采用充砂封闭管沟敷设。
5.2.2.2 引堤或引桥上的工艺管道宜单侧布置。
5.2.2.3 除受敷设条件限制局部跨越码头主通道的工艺管道外,主通道上方不应布设工艺管道。
5.2.2.4 码头及引桥、引堤上的工艺管道应考虑基础结构变形或沉降的影响。
5.2.2.5 工艺管道热补偿不得采用套管式或球形补偿器。
5.2.2.6 对可能产生超压的工艺管道应设置安全泄压装置。输送易氧化、易聚合或易凝固液体的工艺管道,以及需要保持低温运行的工艺管道,应根据储运条件采取防护措施。
5.2.2.7 工艺管道应在水陆域分界附近设置紧急切断阀,并宜设置在陆域侧,安装位置应满足紧急情况下人工操作要求,距离码头前沿线不应小于20m。选用的电动或气动阀门应具有远传和手动操作功能,其动力源应接入消防电源或备用气源。
5.2.2.8 工艺设备和管道保温(冷)层应采用不燃材料或难燃材料。
5.2.3 油气化工码头区域内的工艺泵站应符合下列规定。
5.2.3.1 泵站宜采用地上式,有条件时可采用露天或半露天布置方式。
5.2.3.2 封闭式泵房应采取强制通风措施,通风能力在工作期间不宜小于12次/h,非工作期间不宜小于5次/h。
5.2.4 码头油气回收设施的防火设计应符合现行行业标准《码头油气回收设施建设技术规范(试行)》(JTS196-12)的相关规定。
条文说明
5.2.1.2 码头装船作业基本上都采用软管或装卸臂与船舶集油口联接,通过船舶管系进入油舱。曾有少量小型船舶采用软管直接向液货舱口灌装l工艺,由于易产生静电危害,故明确规定不得采用。
5.2.1.3~5.2.1.7 极度危害介质根据现行国家标准《职业接触毒物危害程度分级》(GB 5044)确定。装卸臂配带绝缘法兰,装卸软管配置不导电短管以防止船岸之间杂散电流危害。本条文要求与第8.3.4条对应。码头采用软管装卸时,要避免软管与码头面或船舶甲板接触碰撞产生火花,常见措施有设置软管吊托架或加设保护衬垫等。
5.2.1.9 为保证工艺管道内物料在内流动过程中所产生的静电有足够的时间导出,防止静电荷集聚和电位增高而在船舶或陆上储罐进液口产生静电放电危害,本条文在综合分析国内外有关静电安全标准的基础上,结合油气化工码头装卸特点,提出油品及液化烃物料输送管道的静电安全流速限值。由于液体化学品种类多、储运条件不尽相同,电导率指标差异大,难以给出统一的安全流速限值。
5.2.2.3 本条规定为保障现场人员正常巡检及紧急撤离的安全,也有利于管道检修以及管道泄漏后的处置。
5.2.2.5 采用套管式或球形补偿器作为工艺管道热补偿易发生泄漏,为避免安全隐患,故明确规定不得采用。
5.2.2.6 油气化工码头装卸货种多样、配置管线数量多,与陆域罐区需要协调工艺操作,生产过程中容易发生管道安全事故。如暴露于大气中的不保温管道,在两端阀门封闭的情况下,夏季管道内液体受热膨胀后可产生超过设计压力的情况而破坏管道。另外,装卸船过程中可能出现意外停泵导致管道水击破坏。因此规定对此类管道要采取安全泄压措施。对于输送易氧化或聚合反应的液体化学品,需要采取循环保冷或置换排空等措施防止管道升温破坏。需要保持低温工况的工艺管道也要根据物料性质采取相应的措施保障管道运行安全。
5.2.2.7 为减少码头或陆域罐区事故状态下的相互影响,避免事故扩大,本条提出工艺管道设置紧急切断阀的要求。在水陆域分界处设置是一般原则,具体位置结合管道敷设安装条件和码头及罐区的工艺流程,以方便安装和操作、尽量靠近水域码头侧为原则。距码头前沿线不小于20m,是保证必要的防火距离。紧急切断阀的关闭时间根据阀门型式、管道设计条件、安全及风险分析等综合确定。
5.3 工艺设备及管道吹扫和放空
5.3.1 码头装卸臂或软管应设管残液排容系统。工艺管道宜根据操作及检修要求设置排空系统。
5.3.2 当采用吹打排空工艺时,作业流程和吹扫介质的选用应满足安全要求。装卸甲、乙类物料的装卸臂、软管和工艺管道所采用的吹扫气体,其含氧量不得大于5%。
5.3.3 液化天然气或液化烃码头的工艺管道或设备排空或排气时,应接至密闭收集系统。
5.3.4 装卸臂、软管和工艺管道端口应配置盲板法兰。
条文说明
5.3.1 码头装卸臂和软管在作业后需要泄空其中的残液,避免随意流淌和暴露于大气中,以有利于安全。
5.3.3 液化天然气、液化烃气体释放后火灾和爆炸危险性大,不能就地排放,排空或排气时进行密闭管道收集有利于安全。
5.4 装卸工艺系统的控制
5.4.1 油气化工码头设置的生产控制系统,应具备超限保护报警、紧急制动和防止误操作的功能。
5.4.2 工艺控制室应配备接收火灾报警、发出火灾声光报警信号的装置。
5.5 可燃气体检测
5.5.1 甲、乙类油气化工品的一级和特级码头装卸臂或软管法兰接口、阀组区、机泵密封处、油气回收装置等可能泄漏可燃气体的释放源附近,应布置固定式可燃气体检测器。
5.5.2 可燃气体检测器的安装位置应符合下列规定。
5.5.2.1 检测器位于释放源的全年最小频率风向的上风侧时,二者水平距离不宜大于15m;位于全年最小频率风向的下风侧时,二者水平距离不宜大于5m。
5.5.2.2 检测相对密度大于空气的可燃气体,检测器的安装高度应高出地坪面0.3m~0.6m;检测相对密度小于空气的可燃气体,安装高度应高出气体释放源0.5m~2.0m。
5.5.3 可燃气体检(探)测器的报警信号应发送至现场报警器和码头控制室或值班室的指示报警设备。
5.5.4 油气化工码头应配置便携式可燃气体检测报警器,配备数量可根据场地条件、装卸物料的危险性、操作人员的数量等综合确定。
5.5.5 可燃气体检(探)测器、报警器的选用和安装设计应符合现行国家标准《石油化工可燃气体和有毒气体检测报警设计规范》(GB 50493)的有关规定。
条文说明
5.5.1 码头易发生可燃气休泄漏的场所设置可燃气休检测器有利于安全监控。考虑到码头环境、仪表维护和检修条件等,按照码头防火等级分级管理,对防火等级要求高的码头要求设置固定式检测器。防火等级相对低的码头,未要求配置固定检测器,但要通过配置的使携式报警器对码头释放源加强安全巡检。
6 建构筑物
6.1 一般规定
6.1.1 生产及消防控制室、消防水泵房、泡沫问的耐火等级不应低于二级。
6.1.2 设置在码头工作平台或冤船上的生产管理用房不宜朝向爆炸危险区域开门,朝向爆炸危险区域的门窗应采用甲级防火门窗。
6.1.3 码头装卸设备区、工艺阀组区、机泵区、物料计量区等应设置防止液休流淌的围堰,液化天然气和低温液化烃码头还应设置紧急泄漏收集池。
条文说明
6.1.1 为保障油气化工码头重要生产建筑及消防设施的安全,规定此类建筑的耐火等级。
6.1.2 生产管理用房是指作业期间有人员值守的工艺操作间、值班室等。
6.1.3 在易发生泄漏的部位设置围堰目的是控制泄漏物扩大蔓延,有利于应急处置。液化天然气和低温液化烃发生泄漏后对周围设施及人员可能造成低温影响,因此需要设置收集池进行集中处置。
6.2 材料要求
6.2.1 油气化工码头主体结构应采用不燃材料。
6.2.2 工艺管道支架或支墩等构筑物应采用不燃材料。
6.2.3 处于爆炸危险区域内的码头工艺:管廊的承重钢结构,应采取耐火保护措施。覆盖耐火层的钢构件,其耐火极限不得低于2.0h。
条文说明
6.2.3 本条文中工艺主管廊是指码头区域工艺十管的钢结构支撑管架,不包含码头前沿分支管道的管架。
7 消防
7.1 一般规定
7.1.1 油气化工码头应设置消防设施。消防设施的配置应根据装卸货物的火灾危险性类别、码头防火等级、水陆域消防设施的消防协作条件等综合确定。
7.1.2 油气化工码头所配备的消防设施,应能满足扑救码头火灾和靠泊设计船型初起火灾的要求。
7.1.3 油气化工码头消防设施的设置应符合下列规定。
7.1.3.1 液化天然气和液化烃码头,应采用固定式水冷却、干粉灭火方式和高倍数泡沫灭火系统。
7.1.3.2 甲B、乙类油品和液体化学品的特级、一级、二级码头,丙类油品和液体化学品的特级、一级码头,应采用固定式水冷却和泡沫灭火方式。
7.1.3.3 甲B、乙类油品和液体化学品的三级码头,丙类油品和液体化学品二级、三级的码头,可采用半固定式水冷却和泡沫灭火方式,对具备消防车辆通行条件的码头也可采用移动式水冷却和泡沫灭火方式。
7.1.3.4 油气化工码头采用固定式、半固定式水冷却和泡沫灭火方式时,应设置消火栓和泡沫栓,并配备移动消防炮及灭火器。码头采用移动式水冷却和泡沫灭火方式时,应配备灭火器。
7.1.4 油气化工码头消防救援宜依托消防船或拖消船。当河港码头采用消防车进行救援时,应具备消防车通行条件和补水条件。
7.1.5 消防水泵站的供水管线距离不宜超过3.0km。
条文说明
7.1.2 为了保护码头自身安全,将停靠码头的事故船舶火灾尽可能控制,避免造成更大的损失,码头配备的消防设备用以扑灭船舶的初起火灾是必要的。
7.1.3 根据码头防火等级,提出不同火灾危险分类码头消防设施的配备要求。
7.1.5 消防水泵房的供水距离主要受到管道流量、流速和供水压力的制约。根据对各港消防水泵房的实际供水距离调研统计,东北某港区口前已建有3个消防水泵房,其中1号消防水泵房服务对象为14个泊位和8个罐组,距离最远消防对象为1.63km;华东地区某原油码头陆域消防水泵房距码头约1.52km;东北地区某原油码头陆域消防水泵房距码头约1.23km,该泵房还负责6个5万吨级成品油泊位消防用水,最远成品油泊位距消防水泵房约1.15km。油气化工码头规模化、集中化建设发展,码头数量越来越多,消防水泵房供水距离也越来越远。为保证消防供水的安全可靠,根据国内相关规范,结合港口消防供水现状,综合确定最大供水管线距离。
7.2 消防给水系统
7.2.1 油气化工码头消防给水的水源可由天然水源、市政给水管网或消防水池、消防水罐供给。
7.2.2 消防用水应优先选择淡水,海水可作为应急水源。以海水为消防水源或应急水源时,消防设备及管路系统应采取防海水腐蚀和水生物滋生的措施。
7.2.3 取水设施应可靠。利用天然水源时,应确保极端低水位或枯水期最低水位取水的可靠性,并确保冬季消防用水的可靠性。
7.2.4 利用港区给水管网作为消防水源时,港区给水管网的进水管不应少于2条,每条进水管应能满足100%的消防用水和70%的生活、生产用水总量的要求。
7.2.5 当直接利用港区水源不能满足消防用水流量、水压和火灾延续时间内消防用水总量要求时,应配置消防水池或消防水罐,并应符合下列规定。
7.2.5.1 消防水池或消防水罐的蓄水有效容积,应满足火灾延续时间内消防用水总量的要求。当发生火灾能保证向消防水池或消防水罐连续补水时,其容量可减去火灾延续时间内的补充水量。
7.2.5.2 消防水池或消防水罐的总蓄水有效容积大于1000m3时,应设置能独立使用的两座消防水池或消防水罐。每座消防水池或消防水罐应设置独立的出水管,并应设置满足最低有效水位的连通管,出水管和连通管管径应能满足消防用水流量的要求。
7.2.5.3 消防水池或消防水罐进水管应根据其有效容积和补水时间确定,补水时间不宜大于48h,但当消防水池或消防水罐有效容积大于2000m3时,不应大于96h。消防进水管平均流速不宜大于1.5m/s。
7.2.5.4 消防水池、消防水罐与生活或生产水池、水罐合建时,应有消防用水不作它用的措施。进水管应能满足消防水池、消防水罐的补充水和100%的生活、生产用水总量的需求。
7.2.5.5 严寒、寒冷等冬季结冰地区的消防水池、消防水罐应设防冻措施。
7.2.5.6 消防水池、消防水罐应设液位检测、高低液位报警及自动补水设施。
7.2.6 码头消防用水流量,应按冷却水系统用水流量、泡沫混合液用水流量、水幕系统用水流量、水枪用水流量、泡沫枪用水流量之和确定。
7.2.7 油品和液体化学品码头靠泊船舶发生火灾时,应对船舶着火货舱周围·定范围内的甲板而进行冷却。液化天然气和液化烃码头靠泊船舶发生火灾时,应对着火舱(罐)和相邻舱(罐)进行冷却。有消防船或拖消船监护作业时,冷却水可以由水上和陆上消防设施共同提供,且陆上消防设施所提供的冷却水量不应小于全部冷却水量的50%。
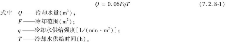
7.2.8 油船和液体化学品船冷却水量、冷却范围、冷却水供给强度及供给时间应符合下列规定。
7.2.8.1 冷却水量应按下式计算:

7.2.8.2 冷却范围应按下式计算:

7.2.8.3 油船、液体化学品船舶最大舱面积及其纵向长度宜通过实船统计确定。
7.2.8.4 冷却水供给强度不应小于2.5L/(min· m2)。
7.2.8.5 甲、乙类油气化工品的特级和一级码头,冷却水供给时间不应小于6h。甲、乙类油气化工品的二级和三级码头,丙类油气化工码头,冷却水供给时间不应小于4h。
7.2.9 液化天然气、液化烃船舶冷却水量可参照式(7.2.8-1)计算,并应符合下列规定。
7.2.9.1 冷却水量应为着火舱(罐)冷却水量和相邻舱(罐)冷却水量之和。
7.2.9.2 全冷冻式、全压力式及半冷冻式船舶冷却水量计算参数应按表7.2.9确定。

7.2.9.3 液化天然气、液化烃船舶货舱(罐)表而积宜通过实船统计确定。
7.2.10 油气化工码头下列位置应设置水幕(雾)设施:
(1)装卸设备两端沿码头前沿各延伸5m范围内,浮码头的冤船靠船侧甲板全长范围;
(2)登船梯前侧工作区域和梯顶设有消防炮的平台区域;
(3)液化天然气码头和低温液化烃码头的操作平台区域。
7.2.11 水幕(雾)系统设计的参数应按下列要求选用。
7.2.11.1 装卸设备前沿和登船梯前侧工作区域处水幕喷水强度不应小于2L/(s·m),工作时间不应小于1h;液化天然气码头和低温液化烃码头操作平台区域处水雾喷水强度不应小于10.2L/(min·m2),工作时间不应小于30min。
7.2.11.2 消防炮塔应自带水幕保护装置,每座消防炮塔水幕的总流量不应小于10L/s;带消防炮的登船梯水幕总流量不应小于51/s。
7.2.12 装卸设备和登船梯前沿水幕喷头宜采用扇形水幕喷头。水幕管线及喷头的安装不应影响码头作业、船舶系泊和人员通行。
7.2.13 陆域消防水泵房至码头引桥或引堤根部的消防供水主管道应采用环状。码头引桥或引堤区段消防供水主管道可采用枝状,宜在引桥或引堤根部设置切断阀。
7.2.14 消防供水管道应根据需要采用防冻措施。
7.2.15 消防供水管道和泡沫混合液管道流速不宜大于3.0m/s。
7.2.16 油气化工码头引桥或引堤上应设消火栓或管牙接口,并在消火栓处配备水带和直流喷雾水枪,其间距不应大于60m。引桥或引堤总长度小于60m时,应至少设置1个消火栓或管牙接口。从消防供水管道接入确有困难时,消火栓也可由生活供水管道接入水源,但应满足消防用水要求。
7.2.17 油气化工码头应设置用于向船舶提供消防水的国际通岸接头。
7.2.18 内河油气化工码头消防供水管道宜在适当位置设置消防补水接口。
条文说明
7.2.2 海水的腐蚀性和水生物的滋生不利于消防设备和管道的维护,因此首选淡水水源,海水作为应急水源。
7.2.6 考虑到移动消防水枪和泡沫枪使用灵活,可以起到扑灭码头流散火灾的作用,因此消防水量计算包含此部分用水量。
7.2.7 油品、液体化学品和液化烃、液化天然气船舶货舱构造及布局不同,因此消防冷却范围有所区别。对于扑救船舶火灾,水上和陆上消防力量各有优势,在具有消防船或拖消船监护的条件下,采取水上、陆上消防设备联合施救的方式,陆上消防水量可以适当折减。
7.2.8 由于油船、液体化学品船舶构造差异性较大,因此很难对油船和液体化学品船货舱面积进行有效统计。通过对中国船级社等相关单位调研咨询,收集到部分实船货舱面积数据,见表7.1。


7.2.9 参考国家标准《消防给水及消火栓系统技术规范》(GB50974-2014)和《石油化工企业防火设计规范》(GB50160-2008)全冷冻式、全压力式及半冷冻式液化烃冷却水供给强度,考虑液化烃船的货舱(罐)与陆域储罐布置方式不同,船上货舱(罐)部分位于甲板面下,部分在甲板而上,紧密排列,间隙小等特点,与陆域储罐的冷却方式不同,对相邻货舱(罐)甲板以上表面积的一半进行冷却容易操作,同时可以减小码头消防冷却水用量。
液化大然气和液化烃船的货舱(罐)形式义分薄膜型舱、A型舱、B型舱、C型独立罐等,C型独立罐又根据罐的组合形式分为单圆筒罐、双联罐以及三联罐,因此很难对液化天然气和液化烃船的货舱(罐)面积进行全而统计。
通过对中国船级社等相关单位调研咨询,收集部分实船货舱面积数据,见表7.2。

7.2.10 为降低热辐射对人员和设备的影响,规定在特定位置设置水幕(雾)保护的要求。考虑浮码头趸船上空间狭小且设有生活区,生活区和装卸设备均需要阻火隔热,因此规定靠船侧甲板全长范围内设置水幕保护的要求。液化天然气和低温液化烃码头因船舶干舷高而设置操作平台作业,紧急情况下撤离路径长,为保证人员安全撤离,因此规定操作平台区域内要设置水雾保护。
7.2.11 规定消防炮塔水幕用水强度,便于计算总消防用水量。考虑到人员疏散时间,因此规定水雾工作时间不小于30min。
7.2.12 装卸设备和登船梯前沿水幕属于防火分隔用水幕,通过密集喷洒形成水幕墙,减少热辐射热影响,达到隔热作用。
7.2.16 引桥、引堤上消火栓主要用于工艺管线保温层或其他零星火灾消防。工程实践中,引桥、引堤消防供水管道压力通常较高,需经多次减压才能供人员手持操作使用,通过调研了解,部分码头引桥、引堤消火栓从生活供水管道接入,压力和流量匹配性较好,便于人员操作。
7.2.17 参考IMO《国际消防安全系统规则》和现行国家标准《船用消防接头》(GB/T2031)制定,国际通岸法兰口径通常为DN65,设置数量根据码头结构形式确定,一般不少于2个。
7.3 泡沫灭火系统
7.3.1 油气化工码头选用泡沫灭火系统时,应选用低倍数泡沫,泡沫液额定混合比按不低于3%计算。液化天然气码头和低温液化烃码头的事故泄漏池,应采用高倍数泡沫灭火系统。
7.3.2 油品和非水溶性液体化学品泡沫液可选用氟蛋白或水成膜泡沫液。水溶性液体化学品泡沫液可选用抗溶氟蛋白或抗溶水成膜泡沫液。
7.3.3 当采用海水作为消防水源时,应选用适用于海水的泡沫液。
7.3.4 低倍数泡沫灭火系统设计应符合下列规定。
7.3.4.1 灭火面积应为设计船型最大船舱面积。
7.3.4.2 油品或非水溶性液体化学品,泡沫混合液的供给强度不应小于8.0L/(min·m2)。
7.3.4.3 水溶性液体化学品,泡沫混合液的供给强度不应小于12.0L/(min·m2)。
7.3.4.4 泡沫混合液的连续供给时间,甲、乙类油品和液体化学品不应小于60min,丙类油品和液体化学品不应小于45min。
7.3.5 泡沫液的储量,不应少于扑救设计船型一次火灾所需要的泡沫液量、充满管道的泡沫混合液中所含泡沫液量和移动消防设备用量之和。
7.3.6 泡沫比例混合器宜选用平衡式或机械泵入式比例混合装置,当泡沫液量小于5m3时可采用囊式压力比例混合装置。
7.3.7 泡沫液泵的选型与配置应符合下列规定。
7.3.7.1 泡沫液泵的工作压力和流量应满足系统设计要求,同时应保证在设计流量范围内泡沫液供给压力大于配制泡沫混合液的消防水压力。
7.3.7.2 泡沫液泵的结构形式、密封或填充类型应适合输送的泡沫液,其材料应耐泡沫液腐蚀且不影响泡沫液的性能。
7.3.7.3 泡沫液泵应设置备用泵,备用泵的规格型号应与主用泵相同,且主用泵故障时应能自动或手动切换到备用泵。
7.3.7.4 泡沫液泵应能耐不低于10min的空载运转。
7.3.7.5 泡沫液泵的主用泵可采用水轮机拖动或电机拖动,备用泵动力源应采用水轮机拖动;水轮机拖动时,水轮机的压力损失不应大于0.2MPa,采用向外泄水的水轮机且使用3%型泡沫液时,其泄水量不应大于泡沫用水量的20%。
7.3.8 泡沫液储罐宜采用耐腐蚀材料制作,且与泡沫液直接接触的内壁或衬里不应对泡沫液的性能产生不利影响。
7.3.9 泡沫液储罐宜设置取液接口或设施。
7.3.10 泡沫混合液管道应具有排空和冲洗的措施。
7.3.11 泡沫混合液管道应设置泡沫栓。
7.3.12 泡沫灭火系统的设计除应执行本规范外,尚应符合现行国家标准《泡沫灭火系统设计规范》(GB50151)的有关规定。
条文说明
7.3.1 为使泡沫混合液额定混合比达到3%,计算时需按实际混合比进行计算,无实际混合比时则按混合比上限计算。美国国家防火协会《泡沫灭火系统标准》(NFPA11 2016牛版)规定额定混合比为3%时,实际混合比为3%~3.9%,混合比上限为3.9%。
7.3.2 由于油品和液体化学品种类繁多,物理化学指标差异大,按照极性和非极性可分为水溶性和非水溶性。严格来讲,所有液体均有一定的溶水性,只是溶解度有高低之分,本规范所涉及的非水溶性液体是指由碳、氢两元素构成的烃类液体及其液体混合物。码头常见装卸货种溶解性举例见表7.3。

7.3.4 根据《泡沫灭火系统设计规范》(GB 50151)相关泡沫灭火方式实验,对于泡沫灭火采用缓释放方式具有较好效果,缓释放是指利用泡沫发生器采用液上或液下喷射灭火方式,油品和液体化学品码头配置泡沫炮,对船舶着火舱进行泡沫喷射,为泡沫强释放,一定程度上能起到抑火作用,其灭火效果难以模拟试验,本条基于码头泡沫灭火特点并参考现行国家标准《泡沫灭火系统设计规范》(GB 50151)制定。
7.3.6 囊式压力比例混合装置的优点在于不需电源驱动,根据使用经验,当泡沫原液量小于5m3时采用囊式压力比例混合装置适宜可行,此时囊式压力比例混合装置检测压力在1.2MPa以内。
7.3.9 考虑码头不同泊位之间泡沫液互备互补,提高泡沫液供应可靠性。
7.3.10 防止泡沫液对管道、阀门等管件的腐蚀,影响使用寿命。
7.4 干粉灭火系统
7.4.1 干粉灭火剂宜采用碳酸氢钠或高聚磷酸铵。当干粉与氟蛋白泡沫灭火系统联用时,应选用硅化钠盐干粉灭火剂。
7.4.2 干粉灭火系统设计,应符合下列规定。
7.4.2.1 特级码头设置干粉储量不应小于2000kg,一级码头设置干粉储量不应小于500kg。
7.4.2.2 干粉储量应能满足规定灭火时间内的干粉炮所需干粉用量,储量应为计算用量的1.2倍。
7.4.2.3 干粉炮射程应满足覆盖码头工作平台装卸区范围。
7.4.2.4 干粉供给强度应根据干粉灭火剂种类按表7.4.2选用。

7.4.2.5 干粉炮连续供给时间不应小于60s。
7.4.2.6 干粉系统应采用氮气作为驱动气体。
7.4.2.7 干粉供给管道的总长度不应大于20m。干粉炮与干粉储罐的高差不应大于10m。
7.4.3 干粉灭火系统的设计除应执行本规范的规定外,尚应符合现行国家标准《干粉灭火系统设计规范》(GB 50347)和《固定消防炮灭火系统设计规范》(GB 50338)的有关规定。
条文说明
7.4.2 本条文是基于码头灭火特点,参考现行国家标准《固定消防炮灭火系统设计规范》(GB 50338)制定。
7.5 消防设施
7.5.1 消防设施的选用应符合下列规定。
7.5.1.1 根据选定的灭火方式和码头设计条件,油气化工码头可按需要配备下列消防设备:
(1)泡沫炮、泡沫枪;
(2)水炮、水枪;
(3)干粉炮、干粉枪;
(4)消防车;
(5)消防船。
7.5.1.2 选用的消防设备应操作灵活、可靠、坚固耐用;海港和河口港码头选用的设备,应抗盐雾腐蚀。
7.5.1.3 消防设施及系统选用的灭火剂应和保护对象相适应。
7.5.1.4 油气化工码头固定式消防炮灭火系统宜具备远程控制方式,消防炮的操作应具备遥控功能。
7.5.2 码头固定式灭火方式的消防炮应符合下列规定。
7.5.2.1 消防炮的数量和流量应经计算确定。
7.5.2.2 消防水炮应能保证流量和射程满足设计船型的全船范围,单个泊位配置的消防水炮数量不应少于两门。
7.5.2.3 泡沫炮应能保证流量和射程满足设计船型的液货舱范围,单个泊位配置的泡沫炮数量不应少于两门。
7.5.2.4 有消防船或拖消船监护作业的码头配置的消防水炮和泡沫炮,可与水上消防设备联合作业,共同满足射程和流量覆盖设计船型的要求。
7.5.2.5 消防炮塔的高度应能满足消防炮炮口高于设计高水位时设计船型卸空状态下甲板面以上3.0m。
7.5.2.6 消防炮水平回转中心距码头前沿线不应小于2.5m。消防炮塔的周围应设置检修通道。
7.5.2.7 消防炮塔和带有消防炮的登船梯应设接地装置、防护栏杆和保护水幕。
7.5.3 采用半固定式灭火方式的码头选用移动消防炮时,应符合下列规定。
7.5.3.1 消防水炮应能保证流量和射程满足设计船型的全船范围,消防水炮数量不应少于两门。
7.5.3.2 泡沫炮应能保证流量和射程满足设计船型的液货舱范围,泡沫炮数量不应少于两门。
7.5.3.3 与消防炮配套的消火栓或管牙接口的口径和数量应经计算确定。
7.5.4 油气化工码头配置移动消防设备灭火时,应符合下列规定。
7.5.4.1 移动炮流量不宜大于40L/s。
7.5.4.2 水枪流量不应小于5.0L/s,泡沫枪的流量不应小于8.0L/s,按2支水枪和1支泡沫枪同时工作计算水量,工作时间应与各自消防系统供水时间一致。配套管牙接口宜选用DN65规格,出口压力大于0.5MPa时应有减压设施。
7.5.4.3 当采用自吸式空气泡沫枪时,宜选用容量25L的泡沫液背桶。
7.5.5 严寒、寒冷等冬季结冰地区设置的消防炮、水幕(雾)喷头和消火栓等固定消防设施应采取防冻措施。
7.5.6 油气化工码头水上消防设施的配置应符合下列规定。
7.5.6.1 水上和陆上联合提供消防保护时,消防船或拖消船的配备数量,应根据需要水上提供的消防水量和保护范围确定。
7.5.6.2 40000m3及以上舱容的液化天然气船舶和液化烃船舶、25万吨级及以上油品船舶在泊作业时,至少应有一艘消防船或拖消船实施监护;其他甲类特级码头,应有消防船或拖消船实施值守。
7.5.6.3 每艘消防船消防水炮的总流量不应小于120L/s,泡沫炮的总流量不应小于100L/s。每艘拖消船消防炮的总流量不应小于100L/s,泡沫炮的总流量不应小于80L/s。每艘消防船或拖消船至少应配备5t泡沫液。
7.5.7 消防水泵站的设计应满足下列要求。
7.5.7.1 消防水泵、泡沫消防水泵启动并将水或泡沫混合液输送到最远灭火点的时间不应大于5min。
7.5.7.2 消防水泵应采用自灌式吸水。
7.5.7.3 每台消防水泵宜有独立的吸水管;两台以上成组布置时,其吸水管不应少于两条,当其中一条检修时,其余吸水管应能确保吸取全部消防用水量。
7.5.7.4 成组布置的水泵,至少应有两条出水管与消防水管道连接,两连接点间应设阀门。当一条出水管检修时,其余出水管应能输送全部消防用水量。
7.5.7.5 消防水泵的出水管道应设压力表和防止超压的安全设施。
7.5.7.6 出水管道上直径大于300mm的阀门应选用电动阀门,但应具备手动功能,阀门的启闭应有明显标志。
7.5.8 消防水泵及稳压泵、泡沫液泵应分别设置备用泵,备用泵的能力应与主用泵的能力一致。
7.5.9 消防水泵应确保从接到启泵信号到水泵正常运转的自动启动时间不大于2min。
7.5.10 消防水主用泵采用电机拖动时,备用泵应采用柴油机拖动。消防水主用泵采用柴油机拖动时,备用泵也应采用柴油机拖动。
7.5.11 采用柴油机作为动力源时,消防水泵的柴油机油料储备量应能满足机组连续运转不小于6h的要求,泡沫消防水泵的柴油机油料储备量应能满足机组连续运转不小于1h的要求。
条文说明
7.5.4 根据消防实践经验,码头上适当增加移动消防设备可以有效提高消防施救的灵活性。考虑到码头位于水上及操作空问等限制条件,消防车通常不考虑在码头上通行和进行施救作业,码头上设置的室外消火栓不考虑为消防车提供水源,仅是用于人工操作进行辅助灭火,且消火栓接口通常按SN65规格设置,基于以上因素,本规范提出消火栓用水量按2支5L/s水枪同时工作计算。
7.5.6 本规范制定过程中对沿海及内河港口的消防船或拖消船配置、运营体制、生产作业期间的水上消防值守现状进行了调研,开展了火灾案例及水上消防设施专题研究,结合码头防火等级管理要求制定本条文。
油气化工码头水上消防船或拖消船其有机动性强、保护范围大、水源保障性好的优势。当码头灭火采用水陆域联合方式时,可以减少码头消防供水能力,但要求作业时配置消防船或拖消船进行监护,即船舶在泊期间,消防船或拖消船在附近水域执勤成备,当发生事故时可立即与码头上消防设施联合进行灭火施救。
考虑到大型油气化工码头的重要性和火灾事故的危害性,规定了一定等级的液化天然气、液化烃和油品船舶作业期间实施水上监护的强制要求。对于其他甲类特级码头,考虑有能力由陆上提供所需的消防用水,不再要求进行监护,结合区域联防条件等实施水上值守。
根据现场调研,部分消防船或拖消船配置泡沫液数量不足,部分拖消船未配备泡沫液,在监护或值守作业时不满足消防要求。因此对消防船或拖消船配置泡沫液量提出要求。
7.5.10 本条依据石油石化行业国家标准协调会关于消防水泵动力源选择原则进行制定。
7.5.11 柴油机油料储备按消防水和泡沫混合液灭火时间要求配置。
7.6 灭火器配置
7.6.1 灭火器应设置在位置明显和使于取用的地点,且不得影响码头作业和人员安全疏散。
7.6.2 油气化工码头装卸区内宜设置干粉型或泡沫型灭火器,生产及消防控制室和变配电间等场所宜设置磷酸铵盐干粉灭火器或二氧化碳等气体灭火器。
7.6.3 码头装卸区内设置的灭火器的规格,宜按表7.6.3选用。

7.6.4 油气化工码头装卸区内灭火器的配置,应符合下列规定。
7.6.4.1 甲、乙类码头,手提式灭火器按最大保护距离不应超过9m配置,推车式灭火器按最大保护距离不应超过18m配置。
7.6.4.2 丙类码头,手提式灭火器按最大保护距离不应超过12m配置,推车式灭火器按最大保护距离不应超过24m配置。
7.6.4.3 每一个配置点的手提式灭火器数量不应少于2具。
7.6.4.4 在甲、乙类码头装卸臂15m范围内宜设置辆推车式干粉灭火器。
7.6.5 灭火器的配置除应符合本规范的规定外,尚应符合现行国家标准《建筑灭火器配置设计规范》(GB 50140)的有关规定。
8 电气及通讯
8.1 消防电源及配电
8.1.1 油气化工码头的消防供电应满足下列要求。
8.1.1.1 泡沫液泵供电应符合第7.3.7.5款的规定。
8.1.1.2 消防水泵供电应符合第7.5.10条的规定。
8.1.1.3 除泡沫液泵和消防水泵以外的消防供电应满足下列要求:
(1)甲A 类码头,甲B和乙类的特级和一级码头,按一级负荷供电;
(2)甲B和乙类的二级和三级码头,丙类码头,按不低于二级负荷供电。
8.1.2 一级、二级负荷的供电电源应符合现行国家标准《供配电系统设计规范》(GB 50052)的有关规定。
8.1.3 消防用电设备应采用专用的供电回路,发生火灾切断生产用电时,应仍能保证消防用电,其配电设备应有明显的标志。
8.1.4 消防用电设备的两个电源,应在最末一级配电箱处自动切换。自备应急电源系统,应设有自动启动装置。
8.1.5 消防配电线路应采用耐火铜芯电线电缆,其他配电线路宜采用阻燃或耐火铜芯电线电缆。
8.1.6 油气化工码头的引桥、引堤和工作平台区域的供电电缆可与工艺管道同架敷设,但不得与工艺管道、热力管道敷设在同一管沟内。
8.1.7 电缆布置及安装应符合下列规定。
8.1.7.1 供配电电缆宜采用带盖板的桥架或保护钢管敷设。
8.1.7.2 电缆和工艺管道同架敷设时,相对密度大于空气的可燃气体管道,电缆应设置在可燃气体管道上方;相对密度小于空气的可燃气体管道,电缆应设置在可燃气体管道下方;管道设计温度大于或等于40℃时,电缆与工艺管道的净距不应小于1.0m;管道设计温度低于40℃时,净距不应小于0.2m;电缆桥架或保护管与工艺管道交叉时,净距不应小于0.25m。
8.1.7.3 供配电电缆采用电缆沟敷设时,应采取防止可燃气体积聚或含有可燃液体的污水进人沟内的措施。
8.1.7.4 电缆及其保护套管、电缆沟穿过不同危险区域时,应采用阻燃材料封堵。
8.1.7.5 爆炸危险区域内的电缆间不应有接头,电缆与设备连接处应采取防爆措施。
8.1.7.6 进出设备设施基础的电缆应穿钢管保护。
8.1.8 油气化工码头的平均照度不应低于15lx,其水平照度均匀度不应低于0.25。有夜间作业要求的局部照明照度宜符合表8.1.8的规定。

8.1.9 消防水泵房、生产及消防控制室、变配电间、泡沫间和应急电源设备间等场所应设置事故照明,其照度不应低于正常照明的照度值。事故照明供电支线应接于消防配电线路上。
8.1.10 油气化工码头引桥段宜设置夜间警示灯。
条文说明
8.1.5 消防配电系统需要在火灾时继续工作,配电线路要具有相应的耐火性能,故规定此类线路采用耐火铜芯电线电缆,其他电缆线路为了避免在火灾中发生延燃,要求采用阻燃型或耐火电线电缆。
8.2 消防控制和火灾报警系统
8.2.1 消防控制方式宜选用集中控制和现场手动控制。
8.2.2 消防灭火系统采用集中控制时,应设消防控制室。消防控制室应具有下列功能:
(1)接收火灾报警信号,发出火灾声光报警信号,向消防部门报警;
(2)码头消防水泵、泡沫液泵的启闭控制;
(3)消防供水管道和泡沫混合液管道上电动阀门的启闭控制;
(4)消防炮的俯仰和水平回转控制;
(5)显示消防系统工作、故障状态;
(6)需要时具有远传控制信号。
8.2.3 消防控制室的灯光报警装置或音响报警装置发生故障时不得影响另一种装置正常工作。
8.2.4 油气化工码头的手动火灾报警按钮设置应符合下列规定。
8.2.4.1 设置固定可燃气体检测器的场所应设置手动火灾报警按钮。
8.2.4.2 码头工作平台区域、引桥及引堤区段应设置手动火灾报警按钮。
8.2.4.3 码头工作平台的操作区域任意位置到邻近手动火灾报警按钮的通行距离不应大于30m,引桥及引堤区段相邻的手动火灾报警按钮距离不应大于120m。
8.2.4.4 手动火灾报警按钮的安装高度距地面宜为1.3m~1.5m,且应有明显的红色标志。
8.2.5 油气化工码头应配置火灾报警装置,火灾报警装置宜选择火灾应急广播或声光报警器、电铃和电笛等火灾报警器。设置扩音对讲的码头,其火灾报警系统的报警器可利用扩音系统的广播功能作为应急广播。
8.2.6 消防控制和火灾报警系统的线缆应选用耐火铜芯电线电缆。线缆的敷设应符合第8.1.7条的规定。
8.3 防雷、防静电接地
8.3.1 油气化工码头应设置防雷、防静电接地装置。防雷设计应符合现行国家标准《建筑物防雷设计规范》(GB 50057)和《石油与石油设施雷电安全规范》(GB 15599)的有关规定。防静电接地设计应符合现行国家标准《液体石油产品静电安全规程》(GB 13348)的有关规定。
8.3.2 防雷、防静电装置应符合下列规定。
8.3.2.1 装卸臂、登船梯、消防炮、钢引桥等金属构件应进行电气连接,并与接地系统形成电气通路。
8.3.2.2 工艺管道系统的所有金属附件,包括外保护层等均应接地。爆炸危险区域内工艺管道的金属法兰连接处应跨接。
8.3.2.3工艺管道的始末端、分支处及直线段每隔200m~300m处应设置防静电接地装置和防雷击电磁脉冲接地装置,二者可合并接地。接地点宜设在固定管墩(架)处。接地电阻不宜大于30Ω。
8.3.2.4 平行敷设工艺管道净距在10cm以内时,跨接间距不得超过30m;管道交叉小于10cm时,交叉点应进行跨接。
8.3.3 油气化工码头的防雷接地、防静电接地、电气设备的工作接地、保护接地及信息系统的接地等,宜共用接地装置,接地电阻应满是其中最小值的要求。
8.3.4 油气化工码头与作业船舶之间应采取电气绝缘措施。装卸臂绝缘法兰或软管配带的不导电短管的电阻值不应小于25kΩ,且不得大于2.5MΩ。该绝缘段向船舶一侧的金属部件应与船体保持电气连续性,向码头一侧的金属部件应与码头接地装置保持电气连续性。码头登船通道不得形成船岸之间的电气通路。
8.3.5 油气化工码头的入口处和爆炸危险场所的入口处应设置消除人体静电的装置。
条文说明
8.3.4 因船岸电气连接不符合规定而引起的事故在国内外时有发生,《装卸油品码头防火设计规范》(JTJ237-99)制定时考虑国内外不同做法,提出码头和船舶之间采用电气绝缘或电缆跨接两种方式均可,在工程实践中执行程度不一,易引起歧义。船岸跨接电缆是仍头防火安全的关键环节,船岸静电和杂散电流又是个复杂而又有争议的问题。近年米,随着静电理论的发展和油气化工品船舶运营管理的实践积累,船岸跨接这·传统的防护于段逐步被国际海运界抛斧。《国际油船和油安全指南(ISGXOTT)》(第五版)规定在油船装卸作业时,船一岸之间要求加装绝缘法兰或非导电短管,以中断船岸之间的杂散电流。美国石油协会(API)和美国防火协会(NFPA)相关标准也推荐这一做法。根据船岸杂散电流和静电安全机理,结合码头使用情况,本条规定油气化工码头与作业船舶之间采取电气绝缘措施,以策安全。本条要求与我国现行国家标准《油船码头安全作业规程》(GB18434)一致,并符合国际通行做法。
8.4 防爆
8.4.1 油气化工码头的爆炸危险区域的范围宜参照附录A划分。
8.4.2 油气化工码头的爆炸危险环境电力装置的设计,应符合现行国家标准《爆炸危险环境电力装置设计规范》(GB 50058)的有关规定。
8.4.3 油气化工码头爆炸危险环境的消防控制和火灾报警系统的设计及设备选择,应符合现行国家标准《爆炸危险环境电力装置设计规范》(GB 50058)和《火灾自动报警系统设计规范》(GB 50116)的有关规定。
8.5 通信
8.5.1 一级及以上的油气化工码头应设置专用有线通信系统,二级及以下的码头宜设置专用有线通信系统。
8.5.2 油气化工码头应设置直通报警的有线电话,并应配备必要的防爆型无线电通信器材。
8.5.3 二级及以上的油气化工码头应设置工业电视系统,三级码头宜设置工业电视系统。工业电视监视的范围宜包括码头工作平台区域、系缆区域、通道入口、消防控制室、泡沫间、消防水泵房和靠泊船舶的甲板面。
8.5.4 用于消防监控的工业电视系统应按消防负荷供电。
8.5.5 油气化工码头宜设置具有报警、广播和对讲功能的应急广播对讲系统。
8.5.6 设置在爆炸危险区域内的甚高频无线电话设备应采用本安型。
8.5.7 油气化工码头消防通信电缆或光缆应采用耐火型线缆,线缆的敷设应符合第8.1.7条的规定。
条文说明
8.5.3 码头设置工业电视的作用,除生产操作监控外还作为消防监视和应急处置的手段。根据调研情况,本条文分级提出码头的工业电视设置要求,并明确监视的范围。
附录A油气化工码头爆炸危险区域划分
A.0.1 码头装卸臂或软管爆炸危险区域(图 A.0.1)划分应符合下列规定。

A.0.1.1 释放源宜为装卸臂或软管与码头端管线的接口法兰、装卸臂顶部放空阀、装卸臂或软管与船舶集油口法兰。
A.0.1.2 下列区域内宜划分为2区:
(1)距装卸臂或软管与码头端管线的接口法兰15m至码头面7.5m范围内;
(2)距装卸臂或软管与码头端管线的接口法兰30m至码头面0.6m范围内;
(3)距装卸臂顶部放空阀及装卸臂或软管与船舶集油口法兰各个方向7.5m至设计低水位或通航低水位范围内;
(4)距装卸臂或软管与船舶集油口法兰15m至甲板面7.5m范围内。
A.0.1.3 上述区域内的管沟或井应划分为1区。
A.0.2 码头工艺管道的阀门爆炸危险区域划分应符合下列规定。
A.0.2.1 未封闭区域的阀门周围0.5m范围内可划为2区。
A.0.2.2 封闭区域内的阀门周围的区域,在封闭范围内可划分为2区。
条文说明
A.0.1 码头装卸臂或软管与船舶集油口连接处法兰以及装卸臂或软管与码头管线连接处第一个法兰为释放源进行划分,是在现行国家标准《爆炸危险环境电力装置设计规范》(GB 50058)基础上借鉴了美国防火协会《易燃液体、气体或蒸气的分类和化工生产区电气装置设计》(NFPA 497 2012年版)的划分原则而制定。
附录B本规范用词说明
为便于在执行本规范条文时区别对待,对要求严格程度的用词说明如下:
(1)表示很严格,非这样做不可的,正面词采用“必须”,反面词采用“严禁”;
(2)表示严格,在正常情况下均应这样做的,正面词采用“应”,反面词采用“不应”或“不得”;
(3)表示允许稍有选择,在条件许可时首先应这样做的,正面词采用“宜”,反面词采用“不宜”;
(4)表示允许选择,在一定条件下可以这样做的采用“可”。
引用标准名录
1.《石油化工可燃气体和有毒气体检测报警设计规范》(GB 50493)
2.《泡沫灭火系统设计规范》(GB 50151)
3.《干粉灭火系统设计规范》(GB 50347)
4.《建筑灭火器配置设计规范》(GB 50140)
5.《供配电系统设计规范》(GB 50052)
6.《建筑物防雷设计规范》(GB 50057)
7.《石汕与石油设施雷电安全规范》(GB 15599)
8.《液体石油产品静电安全规程》((GB 13348)
9.《爆炸危险环境电力装置设计规范》(GB 50058)
10.《火灾自动报警系统设计规范》(GB 50116)
11.《码头油气回收设施建设技术规范(试行)》(JTS196-12)
12.《钢质内河船舶入级与建造规范》(中国船级社)
