Appearance
《干粉灭火系统及部件通用技术条件》GB 16668-2010
🗓️ 住房和城乡建设部 实施时间:2010-09-26
前言
ICS 13.220. 10
C 84
中华人民共和国国家标准
GB 16668—2010
代替 GB 16668—1996
干粉灭火系统及部件通用技术条件
General technical specifications for powder extinguishing system and components
2010-09-26 发布
中华人民共和国国家质量监督检验检疫总局
中国国家标准化管理委员会
发布
本标准的第5章、第6章和第8章内容为强制性的,其余内容为推荐性的。
本标准代替GB 16668—1996《干粉灭火系统部件通用技术条件》。
本标准与GB 16668—1996相比主要变化如下:
——修改了标准范围(见第1章);
——修改了规范性引用文件内容,删除引用标准GB 795—1989,GB 796—1989,GB 4351—1984、 GB 12241—1989,GB 12242—1989,GB 1353—1993,GN 11 —1982(见第 2 章);
——增加了术语和定义的条目(见第3章);
——修改了干粉灭火系统的分类(见第4章);
——删除了规格内容(1996版的5. 1);
——修改了型号编制方法(1996版的5.2.本版的5.1);
——增加了干粉炮的要求(见第6章);
——修改了检验规则(见第8章);
——增加了附录A〜附录N、附录P〜附录T。
本标准的附录A~附录N、附录P~附录T均为规范性附录。
本标准由中华人民共和国公安部提出。
本标准由全国消防标准化技术委员会固定灭火系统分技术委员会(SAC/TC 113/SC 2)归口。
本标准负责起草单位:公安部天津消防研究所。
本标准参加起草单位:陕西省公安消防总队、广东胜捷消防实业集团、上海金盾消防安全设备有限公司、山东环绿康新材料科技有限公司、美国安素公司北京代表处、昆明泰康消防器材有限公司。
本标准主要起草人:董海斌、刘连喜、宋旭东、王舒艳、李习民、高云升、盛彦锋、高振锡、裴丽萍、伍建许、张兆宪、秦玉旺、云宏、林向芳。
本标准所代替标准的历次版本发布情况为:
——GB 16668—1996。
1 范围
本标准规定了干粉灭火系统及部件的术语和定义、分类、型号编制、要求、试验方法、检验规则和使用说明书编写要求等。
本标准适用于固定式和半固定式干粉灭火系统(含柜式干粉灭火装置)。
本标准适用于ABC干粉灭火系统和BC干粉灭火系统,D类干粉灭火系统可参照采用。
2 规范性引用文件
下列文件中的条款通过本标准的引用而成为本标准的条款。凡是注日期的引用文件,其随后所有的修改单(不包括勘误的内容)或修订版均不适用于本标准,然而,鼓励根据本标准达成协议的各方研究是否可使用这些文件的最新版本。凡是不注日期的引用文件,其最新版本适用于本标准。
GB 150 钢制压力容器
GB 4066.1 干粉灭火剂第 1 部分:BC干粉灭火剂(GB 4066.1—2004,ISO 7202:1987,NEQ)
GB 4066.2 干粉灭火剂第 2 部分:ABC 干粉灭火剂(GB 4066.2—2004,ISO 7202:1987,NEQ)
GB 5099 钢质无缝气瓶(GB 5099—1994,neq ISO 4705:1983)
GB 5100 钢质焊接气瓶(GB 5100—1994,neq ISO 4706:1987)
GB/T 9969 工业产品使用说明书 总则
GB 19156 消防炮通用技术条件(GB 19156—2003,DIN 14366 :1984,NEQ)
GB 25200 干粉枪
GA 61 固定灭火系统驱动、控制装置通用技术条件
GA 578 超细干粉灭火剂
JB/T 9273 电接点压力表
TSG R0004 固定式压力容器安全技术监察规程
3 术语和定义
下列术语和定义适用于本标准。
3.1 干粉灭火系统 powder extinguishing systems
由干粉贮存容器,驱动组件,输送管道,喷放组件,探测、控制器件等组成的灭火系统。
3.2 固定式干粉灭火系统 fixed powder extinguishing systems
系统组件全部固定安装的干粉灭火系统。
3.3 半固定式干粉灭火系统 semi-fixed powder extinguishing systems
系统组件中部分可以移动的干粉灭火系统。
3.4 贮气瓶型干粉灭火系统 expellant gas storage cylinder type powder extinguishing systems
通过贮存在贮气瓶内的驱动气体驱动干粉灭火剂喷放的干粉灭火系统。
3.5 贮压型干粉灭火系统 pressure storage type powder extinguishing systems
干粉灭火剂与驱动气体贮存在同一容器内,通过驱动气体驱动干粉灭火剂喷放的干粉灭火系统。
3.6 燃气驱动型干粉灭火系统 pyrotechnics type powder extinguishing systems
通过燃气发生器内固体燃料燃烧产生的气体驱动干粉灭火剂喷放的干粉灭火系统。
3.7 柜式干粉灭火装置 cabinet type powder extinguishing equipment
集干粉贮存容器,驱动组件,干粉喷放组件和探测、控制器件于一体的柜体式灭火装置。
3.8 系统最大工作压力 system maximum working pressure
贮压型干粉灭火系统最大工作压力是指具有额定充装量的干粉贮存容器,在环境温度等于工作温度上限时干粉贮存容器内部的平衡压力。
贮气瓶型干粉灭火系统最大工作压力是指在系统正常动作状况下,减压阀出口的最大压力。
燃气驱动型干粉灭火系统最大工作压力是指燃气发生器动作过程中干粉贮存容器内达到的最大压力。
3.9 增压时间pressurization time
干粉贮存容器中,从干粉受驱动开始至干粉贮存容器内达到设定压力的时间。
3.10 有效喷射时间 discharging time
从喷放器喷出干粉灭火剂至干粉灭火剂喷放结束的时间。
3.11 充装量 filling quantity
干粉贮存容器中,干粉灭火剂质量与干粉贮存容器容积之比,单位为千克每升(kg/L)。
3.12 驱动气瓶组 expellant gas cylinder assemblies
贮气瓶型干粉灭火系统中用来贮存驱动干粉灭火剂气体的瓶组。
3.13 启动气瓶组 pilot gas container assemblies
用来贮存启动容器阀、选择阀等组件的启动气体的瓶组。
3.14 干粉剩余率 residual powder ratio
系统喷放结束后,干粉贮存容器内剩余干粉灭火剂质量与初始充装干粉灭火剂质量比值的百分数。
4 分类
4.1 干粉灭火系统按干粉的驱动方式可分为:
a)贮气瓶型干粉灭火系统;
b)贮压型干粉灭火系统;
c)燃气驱动型干粉灭火系统。
4.2 干粉灭火系统按充装灭火剂的种类可分为:
a)BC干粉灭火系统;
b)ABC干粉灭火系统。
4.3 干粉灭火系统按充装灭火剂的粒径可分为:
a)普通干粉灭火系统;
b)超细干粉灭火系统。
4.4 干粉灭火系统按安装方式分为:
a)固定式干粉灭火系统;
b)半固定式干粉灭火系统。
5 型号编制
型号编制方法如下:

表1型式代号

示例:
ZFP150A表示贮气瓶型普通干粉灭火系统,充装ABC干粉灭火剂质量150 kg。
ZFGY50C表示柜式贮压型超细干粉灭火装置,充装BC干粉灭火剂质量50 kg。
6 要求
6.1 工作环境要求
6.1.1 工作环境温度范围
6.1.1.1 采用氮气作为驱动气体的系统(装置):-20℃~+50℃。
6.1.1.2 采用二氧化碳作为驱动气体的系统(装置)0℃~+50℃。
6.1.1.3 采用其他惰性气体作为驱动气体的系统(装置):-20 ℃~+50 ℃。
6.1.1.4 燃气驱动型干粉灭火系统(装置):-20℃ ~+50 ℃。
6.1.2 工作环境相对湿度
环境温度为40 ℃时的工作环境相对湿度不大于95%。
6.1.3 其他要求
当工作环境温度范围和相对湿度超出上述范围时,应在系统明显处标出,下述相关试验要求和试验方法也应按此范围作相应调整。
6.2 系统要求
6.2.1 外观质量
按7.36规定的方法进行检查,外观应满足下列要求:
a) 油漆件漆膜色泽均匀,无明显流痕、气泡、碰伤等缺陷;
b) 电镀件表面应无明显气泡、碰伤、漏镀等缺陷;
c) 标牌、贴花应端正、平服。
6.2.2 结构要求
6.2.2.1 系统应设有自动、手动和机械应急操作三种启动方式。按7.37规定的方法进行试验,机械应急操作机构的操作力不应大于150N;操作行程不应大于300mm。机械应急操作机构应有保险装置,其解脱力不应大于100N。
6.2.2.2 系统管道应设有吹扫装置。吹扫装置应设置在干粉贮存容器出口释放装置后,宜靠近出口释放装置。
6.2.3 组合分配系统动作程序
系统的动作程序为选择阀先开启或与干粉贮存容器出口干粉释放装置同时开启。
6.2.4 系统铭牌
干粉灭火系统显著位置应设置永久性铭牌,铭牌上应标明:系统名称、型号规格、驱动气体类型、系统最大工作压力、工作温度范围、执行标准代号、生产单位、出厂日期及其他注意事项。
6.2.5 灭火剂要求
干粉灭火系统采用的BC干粉灭火剂、ABC干粉灭火剂和超细干粉灭火剂性能应分别符合GB 4066.1、GB 4066.2 和 GA 578 的规定。
6.2.6 全淹没灭火系统有效喷射时间
全淹没灭火系统的有效喷射时间不应大于30s。
6.2.7 干粉剩余率
干粉剩余率不应大于10%。
6.2.8 灭火性能
6.2.8.1 A类火全淹没灭火性能
按7.38.2规定的试验方法进行A类表面火灭火试验,系统应在灭火剂喷射结束后30s内灭火,继续抑制10min后,开启试验空间通风,木垛不应复燃。
6.2.8.2 B类火全淹没灭火性能
按7.38.3规定的试验方法进行B类火灭火试验,系统应在灭火剂喷射结束后30s内灭火。
6.2.8.3 A类火局部应用灭火性能
按7.39.1规定的试验方法进行A类火灭火试验,系统应在灭火剂喷射结束后扑灭明火,10min内不应出现复燃。
6.2.8.4 B类火局部应用灭火性能
按7.39.2规定的试验方法进行B类火灭火试验,系统应在灭火剂喷射结束后扑灭明火,1min内不应出现复燃。
6.3 干粉贮存容器
6.3.1 外观质量
6.3.1.1 干粉贮存容器外表面颜色应为大红色,表面色泽均匀,无明显流痕、龟裂、气泡、划痕、碰伤、漏涂等缺陷。
6.3.1.2 干粉贮存容器的焊缝应均匀,焊缝不应有肉眼可见的裂纹、烧穿、咬边及未焊透等缺陷。
6.3.2 容器壁厚
容积不大于1000 L的干粉贮存容器壁厚按GB 5100第5章所规定壁厚计算方法确定;对于容积大于1000 L的干粉贮存容器壁厚应按GB 150的要求确定。
6.3.3 强度要求
按7.3规定的方法进行强度试验,试验时干粉贮存容器不应有渗漏、宏观变形等影响正常工作的缺陷。
试验压力为系统最大工作压力的1.5倍,压力保持时间5 min。
6.3.4 超压要求
按7.4规定的方法进行超压试验,试验时干粉贮存容器不应破裂。
试验压力为系统最大工作压力的3倍,压力保持时间5min。
6.3.5 密封要求
按7.5.2规定的方法进行密封试验,试验过程中应无泡式泄漏。
试验压力为系统最大工作压力,压力保持时间5min。
6.3.6 抗振性能
贮压型干粉灭火系统干粉贮存容器应按7.7规定的方法进行振动试验,试验时任何部件不应产生结构损坏;振动试验后干粉贮存容器内压力损失不应大于充装压力的1.5%。
6.3.7 塑料和橡胶件的热稳定性
干粉贮存容器的塑料和橡胶件应选用能长期与干粉灭火剂接触而不腐蚀损坏的材料制造;并应按7.9规定的方法进行热稳定性试验,试验后不应出现断裂和明显的脆化或软化现象。
6.3.8 充装量
贮存容器内干粉灭火剂充装量不应大于生产单位公布值。
6.3.9 其他要求
干粉贮存容器的其他性能应符合TSG R0004的规定。
6.4 干粉贮存容器出口释放装置
6.4.1 —般要求
贮气瓶型干粉灭火系统和燃气驱动型干粉灭火系统干粉贮存容器出口应设置干粉释放装置,干粉释放装置宜采用释放阀或释放膜片。
6.4.2 释放膜片
6.4.2.1 动作要求
释放膜片动作压力不应大于系统最大工作压力,爆破后不应有碎片进人干粉灭火剂输送管道中。
6.4.2.2 密封要求
按7.5.2规定的方法进行密封试验,试验过程中应无气泡泄漏。
试验压力为0.9倍爆破压力,压力保持时间5 min。
6.4.2.3 耐盐雾腐蚀性能
按7.11规定的方法进行盐雾腐蚀试验,释放膜片不应有明显的腐蚀损坏,试验后动作压力应符合6.4.2.1的规定。
6.4.3 释放阀
6.4.3.1 工作压力
释放阀的工作压力不应小于系统最大工作压力。
6.4.3.2 材料
释放阀的动作部件及与之配合部分应采用不锈钢或铜合金等耐腐蚀性能的金属材料制造。
6.4.3.3 密封要求
按7.5.3 规定的方法进行密封试验,试验过程中应无气泡泄漏。试验压力为系统最大工作压力,压力保持时间5 min。
6.4.3.4 强度要求
按7.3规定的方法进行液压强度试验,释放阀应无变形、渗漏和损坏。试验压力为系统最大工作压力的1.5倍,压力保持时间5min。
6.4.3.5 工作可靠性要求
按7.6.1 规定的方法进行工作可靠性试验,释放阀(包括辅助控制部分)的动作应灵活、可靠,不应出现任何故障和结构的损坏(阀门正常工作时允许损坏的零件除外)。
6.4.3.6 耐盐雾腐蚀性能
按7.11规定的方法进行盐雾腐蚀试验,释放阀不应有明显的腐蚀损坏。试验后释放阀的密封性能应符合6.4.3.3的规定,工作可靠性应符合6.4.3.5的规定。
6.5 贮气瓶组
6.5.1 一般要求
贮气瓶组一般包括驱动气瓶组和启动气瓶组,二者均应采用钢质无缝气瓶,其设计、制造和检验应符合GB 5099的规定。
最高使用温度条件下,贮气瓶组内压力不应大于贮气瓶的公称工作压力。
6.5.2 充装介质要求
采用氮气或其他惰性气体作为驱动气体的系统,瓶组内气体充装压力由设计决定,气体的含水率不应大于15mL/m³。
采用二氧化碳作为驱动气体的系统,瓶组内二氧化碳充装量不应大于0.6 kg/L,二氧化碳的含水率不应大于0.5μg/g。
6.5.3 密封要求
按7.5.2规定的方法进行气密性试验,瓶组应无气泡泄漏。
试验压力为贮气瓶公称工作压力,压力保持时间5min。
6.5.4 抗振性能
按7.7规定的方法进行振动试验,瓶组任何部件不应产生结构损坏。充装氮气或其他惰性气体的瓶组,气体压力损失不应大于充装压力的0.25%;充装二氧化碳的瓶组,二氧化碳净重损失不应大于充装量的0.125%。试验后自动启动容器阀,不应出现任何故障。
6.5.5 温度循环泄漏要求
按7.12规定的方法进行温度循环泄漏试验,充装氮气或其他惰性气体的瓶组,气体压力损失不应大于充装压力的0.25%;充装二氧化碳的瓶组,二氧化碳净重损失不应大于充装量的0.125%。试验后自动启动容器阀,不应出现任何故障。
6.6 容器阀
6.6.1 材料
容器阀体及内部机械零件应采用耐使用介质腐蚀的金属材料制造。
6.6.2 工作压力
贮气瓶型干粉灭火系统驱动气瓶组容器阀工作压力不应低于驱动气瓶的公称工作压力。
贮压型干粉灭火系统容器阀工作压力不应低于系统最大工作压力。
6.6.3 强度要求
按7.3规定的方法进行液压强度试验,容器阀不应有变形、渗漏和损坏。
试验压力为工作压力的1.5倍,压力保持时间5min。
6.6.4 超压要求
按7.4规定的方法进行液压超压试验,容器阀不应有破裂现象。
试验压力为工作压力的3倍,压力保持时间5min。
6.6.5 密封要求
按7.5.3规定的方法进行密封性能试验,容器阀在关闭状态下应无气泡泄漏;容器阀在开启状态下各连接密封部位的气泡泄漏量不应超过每分钟20个。
试验压力为工作压力的1.1倍,压力保持时间5min。
6.6.6 工作可靠性要求
按7.6.1规定的方法进行工作可靠性试验,容器阀(包括辅助控制部分)的动作应灵活、可靠,不应出现任何故障和结构的损坏(阀门正常工作时允许损坏的零件除外)。
6.6.7 耐盐雾腐蚀性能
按7.11规定的方法进行盐雾腐蚀试验,容器阀及其附件不应有明显的腐蚀损坏。试验后容器阀的密封性能应符合6.6.5的规定,工作可靠性应符合6.6.6的规定。
6.6.8 手动操作要求
容器阀应有机械应急启动功能,按7.10规定的方法进行手动操作试验,应符合下列要求:
a) 手动操作力不应大于150N;
b) 指拉操作力不应大于50N;
c) 指推操作力不应大于10N;
d) 所有手动操作位移均不应大于300mm。
6.6.9 标志
容器阀明显部位应永久性标出:生产单位或商标、型号规格、工作压力。
6.7 单向阀
6.7.1 标志
单向阀明显部位应永久性标出:生产单位或商标、型号规格、工作压力、介质流动方向。
6.7.2 工作压力
驱动气体流通管路单向阀工作压力不应低于驱动气瓶的公称工作压力。
启动气体流通管路单向阀工作压力不应低于启动气瓶的公称工作压力。
6.7.3 材料
单向阀及其内部机械零件应采用不锈钢、铜合金制造,也可以用强度、耐腐蚀性能不低于上述材质的其他金属材料制造。
弹性密封垫、密封剂及相关部件应采用长期与介质接触而不损坏或变形的材料制造。
6.7.4 强度要求
按7.3规定的方法进行液压强度试验,单向阀及其附件应无渗漏、变形或损坏。
试验压力为1.5倍工作压力,压力保持时间为5 min。
单向阀正向和反向强度要求相同。
6.7.5 正向密封要求
按7.5.3规定的方法进行气密性试验,单向阀应无气泡泄漏。
试验压力为工作压力,压力保持时间为5min。
6.7.6 反向密封要求
按7.5.3规定的方法进行反向气密性试验,在工作压力下,单向阀应无气泡泄漏。
6.7.7 超压要求
按7.4规定的方法进行液压超压试验,单向阀及其附件不得有破裂现象。
试验压力为3倍工作压力,压力保持时间为5min。
单向阀正向和反向超压要求相同。
6.7.8 工作可靠性要求
按7.6.2规定的方法进行工作可靠性试验,单向阀应能承受100次“开启—关闭”动作试验,其开启、关闭动作应灵活、准确,不得出现任何故障或结构损坏。
6.7.9 开启压力要求
按7.14规定的方法进行试验,单向阀的开启压力不得超过生产单位公布值。在开启压力下阀的动作应准确、可靠。
6.7.10 耐盐雾腐蚀性能
按7.11规定的方法进行盐雾腐蚀试验,单向阀及其附件不得有明显的腐蚀损坏,试验后单向阀的反向密封性能应符合6.7.6的规定,其工作可靠性按6.7.8的规定试验时,应能准确、可靠的动作。
6.8 驱动控制装置
驱动控制装置应符合GA 61的要求。
6.9 集流管
6.9.1 工作压力
集流管工作压力不应低于驱动气瓶的公称工作压力。
6.9.2 材料
集流管应采用无缝管制造,材质应具有耐腐蚀性能或将其内外表面做防腐蚀镀层处理。
6.9.3 强度要求
按7.3规定的方法进行液压强度试验,集流管应无渗漏、变形或损坏。
试验压力为1.5倍工作压力,压力保持时间为5 min。
6.9.4 密封要求
按7.5.2规定的方法进行气密性试验,集流管应无气泡泄漏。
试验压力为工作压力,压力保持时间为5min。
6.10 连接管
6.10.1 工作压力
驱动气体流通管路连接管工作压力不应低于驱动气瓶的公称工作压力。
启动气体流通管路连接管工作压力不应低于启动气瓶的公称工作压力。
6.10.2 材料
连接管宜采用高压软管,亦可采用耐压强度、抗冲击振动能力相当的金属管材。
连接管应选用耐使用介质腐蚀的材料制造。
6.10.3 强度要求
按7.3规定的方法进行液压强度试验,连接管应无渗漏、变形或损坏。
试验压力为1.5倍工作压力,压力保持时间为5min。
6.10.4 密封要求
按7.5.2规定的方法进行气密性试验,连接管应无气泡泄漏。
试验压力为工作压力,压力保持时间为5 min。
6.10.5 非金属连接管耐热空气老化性能
按7.15规定的方法进行热空气老化试验,非金属软管不得有裂纹等损坏。试验后非金属软管的强度和密封要求应满足6.10.3和6.10.4的规定。
试验温度140℃,试验时间240h。
6.11 安全防护装置
6.11.1 一般要求
干粉贮存容器、容器阀、集流管上应设有安全阀或膜片式安全泄放装置(以下简称“安全泄放装置”)等安全防护装置。
6.11.2 安全阀
6.11.2.1 工作压力
干粉贮存容器上安全阀的工作压力不应小于系统最大工作压力。
集流管上安全阀的工作压力不应小于驱动气瓶公称工作压力。
6.11.2.2 整定压力
安全阀的整定压力由系统设计确定,按7.8规定的方法进行试验,其整定压力偏差应符合下列要求:
a) 当0.5MPa<整定压力≤2.3MPa时,整定压力偏差为±3%整定压力;
b) 当2.3MPa<整定压力≤7.0MPa时,整定压力偏差为±0.07MPa。
6.11.2.3 强度要求
按7.3规定的方法进行液压强度试验,安全阀阀体应无变形和渗漏现象。
试验压力为1.5倍工作压力,压力保持时间5min。
6.11.2.4 密封要求
按7.5.4规定的方法进行气密性试验,阀门出口处应无气泡泄漏。
试验压力为0.9倍整定压力,压力保持时间5min。
6.11.2.5 耐盐雾腐蚀性能
按7.11规定的方法进行盐雾腐蚀试验,安全阀各部位不应有明显的腐蚀损坏。试验结束后,分别进行整定压力试验和密封试验,结果应分别符合6.11.2.2和6.11.2.4的要求。
6.11.3 安全泄放装置
6.11.3.1 动作压力
按7.13规定的方法进行试验,安全泄放装置动作压力应符合下列要求:
a)驱动气瓶组容器阀和集流管上安全泄放装置泄放动作压力设定值不应小于1.25倍驱动气瓶公称工作压力,但不大于驱动气瓶强度试验压力的95%。泄压动作压力范围为设定值×(1± 0.05)。
b)启动气瓶组容器阀泄放动作压力设定值不应小于1.25倍启动气瓶公称工作压力,但不大于启动气瓶强度试验压力的95%。泄压动作压力范围为设定值×(1±0.05)。
c)干粉贮存容器或容器阀上的安全泄放装置泄放动作压力设定值不应小于1.25倍系统最大工作压力,但不大于1.5倍系统最大工作压力。泄压动作压力范围为设定值×(1±0.05)。
6.11.3.2 密封要求
按7.5.2规定的方法进行密封试验,试验过程中应无泡式泄漏。
试验压力为0.9倍动作压力,压力保持时间5min。
6.11.3.3 耐盐雾腐蚀性能
按7.11规定的方法进行盐雾腐蚀试验,安全泄放装置不应有明显的腐蚀损坏。试验结束后,进行动作压力试验,结果应符合6.11.3.1的要求。
6.12 检漏装置
6.12.1 一般要求
系统应设有检漏装置。惰性气体宜采用压力显示器检漏;二氧化碳气体宜采用称重方法检漏。
6.12.2 压力显示器
6.12.2.1 一般要求
贮压型干粉灭火系统的压力显示装置应具有防止粉堵的有效保护措施。电接点压力表性能应符合JB/T 9273的要求。
6.12.2.2 基本性能
6.12.2.2.1 压力显示器工作温度应不小于6.1.1规定的温度范围。
6.12.2.2.2 压力显示器测量范围上限应不小于最大工作压力的1.1倍。
6.12.2.2.3 按7.20规定的方法进行试验,示值误差应符合下列要求:
a) 贮存压力点示值误差应不大于贮存压力的±4%;
b) 最大工作压力点示值误差应不大于贮存压力的±8%;
c) 最小工作压力点示值误差应不大于贮存压力的±8%;
d) 零点和测量范围上限的示值误差应不大于贮存压力的±15%。
6.12.2.3 标度盘要求
6.12.2.3.1 标度盘的零位、贮存压力、最大工作压力、最小工作压力和测量范围上限的位置应有刻度和数字标志。
6.12.2.3.2 标度盘的最大工作压力与最小工作压力范围用绿色表示,零位至最小工作压力范围、最大工作压力至测量上限范围用红色表示。
6.12.2.3.3 标度盘上应标出:生产单位或商标、产品适用介质、法定计量单位(MPa)、计量标志等。
6.12.2.4 强度密封要求
6.12.2.4.1 按7.5.5规定的方法进行密封试验,压力显示器不得出现气泡泄漏。
6.12.2.4.2 按7.3规定的方法进行液压强度试验,压力显示器承受2倍最大工作压力的试验压力,保持压力5min不得有渗漏或损坏现象。
6.12.2.4.3 按7.4规定的方法进行超压试验,压力显示器承受4倍最大工作压力的试验压力,保持压力5 min,其任何零部件不得被冲出。
6.12.2.5 耐盐雾腐蚀性能
按7.11规定的方法进行盐雾腐蚀试验,压力显示器不应产生影响性能的损坏,试验后压力显示器指针应升降平稳,压力显示器的示值基本误差应符合6.12.2.2的规定。
6.12.2.6 耐交变负荷性能
按7.21规定的方法进行交变负荷试验,交变频率为0.1 Hz,交变幅度为贮存压力的40%至最大工作压力,交变次数为1000次。试验后,压力表贮存压力的示值误差不应超过贮存压力的±4%。
6.12.3 称重装置
6.12.3.1 报警功能
安装在灭火系统中的称重装置应有泄漏上限报警功能,按7.18规定的方法进行试验,当充装气体泄漏量达到质量损失5%时,应能可靠报警。
6.12.3.2 耐高低温性能
称重装置在7.19规定的最高工作温度和最低工作温度环境中分别放置8h后,其报警功能应符合6.12.3.1 的规定。
6.12.3.3 过载要求
按7.23规定的方法进行试验,称重装置承受两倍瓶组质量的静载荷(充装气体按最大充装密度计算),保持15min不得损坏。试验后报警功能应符合6.12.3.1的规定。
6.13 选择阀
6.13.1 一般要求
选择阀应是具备手动、自动控制双重功能的快速打开型阀门。阀门应保证流通部分口径不小于阀门入口内径的95%。
6.13.2 标志
在选择阀明显部位应永久性标出:生产单位或商标、型号规格、工作压力、介质流动方向。
6.13.3 材料
选择阀体及内部机械零件应采用不锈钢、铜合金制造,也可以用强度、耐腐蚀性能不低于上述材质的其他金属材料制造。
6.13.4 工作压力
选择阀的工作压力不应小于系统最大工作压力。
6.13.5 强度要求
按7.3规定的方法进行液压强度试验,阀门及其附件不应有变形、渗漏、裂纹或其他损坏。
试验压力为系统最大工作压力的1.5倍,压力保持时间5 min。
6.13.6 超压要求
按7.4规定的方法进行液压超压试验,阀门及其附件不应破裂。
试验压力为系统最大工作压力的3倍,压力保持时间5min。
6.13.7 密封要求
按7.5.3规定的方法进行气密性试验,选择阀在关闭状态下应无气泡泄漏;选择阀在开启状态下各连接密封部位的气泡泄漏量不应超过每分钟20个。
试验压力为系统最大工作压力,压力保持时间5min。
6.13.8 工作可靠性要求
按7.6.1规定的方法试验时,阀门的动作应灵活、准确可靠、不应出现任何故障和结构的损坏(阀门正常工作的零件损坏除外)。
6.13.9 阀门局部阻力损失
按7.25规定的方法进行试验,试验结果与生产单位公布值相比,其差值不应超过公布值的±10%。
6.13.10 耐盐雾腐蚀性能
按7.11规定的方法进行盐雾腐蚀试验,选择阀及其附件不应有明显的腐蚀损坏。试验后选择阀的密封性能应符合6.13.7的规定,工作可靠性应符合6.13.8的规定。
6.13.11 手动操作要求
按7.10的方法进行手动操作试验,应符合下列要求:
a)手动操作力不大于150N:
b)手动操作行程不大于300mm。
6.14 燃气发生器
6.14.1 燃气发生器发火装置基本参数
按7.26规定的方法进行试验,发火装置的下列参数应与生产单位提供的参数一致:
a) 最小发火电流;
b) 安全电流;
c) 最小工作电压。
6.14.2 强度要求
按7.3规定的方法进行强度试验,试验过程中燃气发生器应无破裂和宏观变形等影响正常使用的缺陷。
试验压力为系统最大工作压力的1.5倍,压力保持时间5min。
6.14.3 超压要求
按7.4规定的方法进行超压试验,试验过程中壳体应无破裂。
试验压力为系统最大工作压力的3倍,压力保持时间5min。
6.14.4 抗振性能
按7.7规定的方法进行试验,试验过程中燃气发生器不应产生裂纹、变形等影响正常工作的缺陷,试验后燃气发生器能正常动作。
6.14.5 防潮性能
按7.27规定的方法进行试验,发火药盒的发火率应为100%。
6.14.6 可靠性要求
按7.6.3规定的方法进行试验,在发火电流条件下,置信度为95%的置信区间内发火装置的发火率不应小于99.9%。除非在生产或设计中证实其他分布更适用,应使用正态或高斯分布进行计算。
6.14.7 时效性能
按7.28规定的方法进行试验,燃气发生器发火装置在90℃±2℃的温度条件下试验90d,试验后发火装置能正常动作。
6.14.8 压力特性
按7.29规定的方法进行压力特性试验,实测数据不应超过生产单位提供数据的±10%。
6.15 信号反馈装置
6.15.1 一般要求
安装在干粉贮存容器或输粉管路上的信号反馈装置应有防止粉堵的措施。
6.15.2 动作要求
6.15.2.1 信号反馈装置的动作压力应不大于0.5倍系统最小工作压力。当信号反馈装置安装在减压装置后时,其动作压力应不大于减压装置后压力的50%。
6.15.2.2 按7.24规定的方法进行动作试验,信号反馈装置在大于等于动作压力下可靠动作100次;在小于等于0.8倍动作压力下不应动作。试验后信号反馈装置触点的接触电阻应符合6.15.8的规定。
6.15.3 强度要求
按7.3规定的方法进行液压强度试验,信号反馈装置不得损坏。
试验压力为系统最大工作压力,压力保持时间5min。
6.15.4 密封要求
按7.5.2规定的方法进行气密性试验,信号反馈装置不应产生气泡泄漏。
试验压力为系统最大工作压力,压力保持时间为5min。
6.15.5 耐电压性能
信号反馈装置接线端子与外壳之间的耐电压性能,按7.16规定的方法进行试验,不得出现表面飞弧、扫掠放电、电晕或击穿现象。
额定工作电压大于50V时,试验电压为1500V(有效值),50Hz;
额定工作电压小于等于50V时,试验电压为500V(有效值),50Hz。
6.15.6 绝缘要求
按7.17规定的方法进行试验,在正常的大气条件下,信号反馈装置的接线端子与外壳之间的绝缘电阻应大于20MΩ。
6.15.7 耐盐雾腐蚀性能
按7.11规定的方法进行盐雾腐蚀试验,信号反馈装置不应有明显的腐蚀损坏。试验后,信号反馈装置动作要求应符合6.15.2的规定;触点接触电阻应符合6.15.8的规定。
6.15.8 触点接触电阻
按7.22规定的方法进行试验,在正常大气条件下,信号反馈装置触点接触电阻不应大于0.1Ω,动作试验和腐蚀试验后不应大于0.5Ω。
6.16 减压阀
6.16.1 工作压力
减压阀工作压力不应低于驱动气瓶公称工作压力。
6.16.2 强度要求
按7.3规定的方法进行液压强度试验,试验过程中,阀体不应有渗漏现象。
试验压力为工作压力的1.5倍,压力保持时间5min。
6.16.3 密封要求
按7.5.3规定的方法进行密封试验,试验过程中减压阀密封部位应无泄漏。
试验压力为工作压力,压力保持时间5min。
6.16.4 流量要求
设定减压阀入口压力为驱动气体工作压力,其流量应满足干粉灭火系统的增压时间不大于20s。
6.16.5 耐盐雾腐蚀性能
按7.11规定的方法进行盐雾腐蚀试验,试验后阀体不应有起层、剥落和可见的点蚀凹坑等腐蚀破坏。试验后的减压阀密封性能应符合6.16.3的规定。
6.17 喷嘴
6.17.1 标记
喷嘴上应设有永久性标记,标有生产单位或商标、型号规格、应用方式等。
6.17.2 材料
喷嘴的各部分应由耐使用介质腐蚀材料制造,其中喷孔部分必须由耐腐蚀的金属材料制造。
6.17.3 工作压力
喷嘴的工作压力应大于0.1MPa。
6.17.4 单孔直径
喷嘴的单孔直径不应小于6mm。
6.17.5 防护帽
喷嘴应装配防护帽以防止潮气或杂物进入管道内。喷放干粉时,防护帽应能够被吹掉、打开或打穿。
6.17.6 耐热和耐压性能
按7.30规定的方法进行试验,试验压力为系统最大工作压力。试验后,喷嘴不应有裂纹、变形或其他损坏。
6.17.7 耐冲击性能
按7.31规定的方法进行试验,试验后,喷嘴不应有裂纹、变形或其他损坏。
6.17.8 耐盐雾腐蚀性能
按7.11规定的方法进行盐雾腐蚀试验,喷嘴不应有明显的腐蚀损坏。试验后喷嘴的耐热和耐压性能应符合6.17.6的规定。
6.17.9 局部应用喷嘴
6.17.9.1 布粉性能
按7.32规定的方法进行试验,实测喷嘴的布粉密度与生产单位公布值相比,其差值不应超过公布值的10%。
6.17.9.2 防飞溅性能
按7.33规定的方法进行试验,试验过程中试验盘内水滴不应飞溅出试验盘外。
6.17.10 全淹没喷嘴布粉性能
按7.34规定的方法进行试验,试验罐的灭火时间不应大于30s。各受粉盘内干粉的质量与其平均值偏差不应超过±10%。
6.18 干粉软管卷盘
<st1:chsdate day="30" islunardate="False" isrocdate="False" month="12" w:st="on" year="1899">6.18.1</st1:chsdate> 外观
软管卷盘表面应进行耐腐蚀处理,涂漆部分的漆层应均匀,无明显划痕和碰伤。焊缝应平整均匀、焊接牢固,无烧穿、疤瘤等。
6.18.2 工作压力
干粉软管卷盘的工作压力不应小于系统最大工作压力。
6.18.3 密封要求
按7.5.2规定的方法进行密封试验,试验过程中软管卷盘任何部位应无气泡泄漏。
试验压力为工作压力,压力保持时间5min。
6.18.4 强度要求
按7.3规定的方法进行强度试验,软管卷盘各零部件不应产生影响正常使用的变形和脱落。试验后软管卷盘应能正常使用。
试验压力为工作压力的1.5倍,压力保持时间5min。
6.18.5 转动性能
软管卷盘软管的拉出力不应大于200N。
6.18.6 干粉枪
干粉枪性能应符合GB25200的规定。
采用超细干粉灭火剂的干粉系统,干粉枪的喷射强度不应小于生产单位公布值。
6.18.7 软管
6.18.7.1外观
软管外表应无裂纹、破损、划伤和局部隆起。
6.18.7.2工作压力
软管的工作压力不应小于系统最大工作压力。
6.18.7.3材料
软管应采用耐介质腐蚀的材料制造。
6.18.7.4强度要求
按7.3规定的方法进行强度试验,试验后软管不应产生变形等影响正常工作的缺陷。
试验压力为工作压力的1.5倍,压力保持时间为5min。
6.18.7.5超压要求
按7.4规定的方法进行超压试验,试验后软管应无破裂。
试验压力为工作压力的3倍,压力保持时间5min。
6.18.7.6耐低温性能
按7.35规定的方法进行试验,连接软管应无脆裂现象。试验后连接软管的强度性能应符合6.18.7.4的要求。
6.19 干粉炮
干粉炮性能应符合GB19156的规定。
采用超细干粉灭火剂的干粉系统,干粉炮的有效喷射率和有效射程不应低于生产单位公布值。
7 试验方法
7.1 试验要求
7.1.1 试验环境条件
除另行注明外,本章规定的试验应在下列条件下进行,即:
a) 环境温度:15℃~35℃;
b) 相对湿度:45%~75%;
c) 大气压力:86kPa~106kPa;
d) 风速:不大于3m/s。
7.1.2 测试仪表要求
温度测量仪表:精度不低于±2%(如果采用热电偶进行温度测量,热电偶应为K型,直径不大于1mm);
秒表:分度值0.1s;
称重仪器:精度1/1000。
7.2 外观质量
对照设计图样和相关技术文件资料,目测检查样品。
7.3 强度试验
7.3.1 液压强度试验装置用液压源应具备消除压力脉冲的稳压功能,压力测量仪表的精度不低于1.6级,试验装置的升压速率应在使用压力范围内可调。
7.3.2 燃气发生器强度试验时,生产单位应提供未开孔的燃气发生器样品进行强度试验。
7.3.3 干粉软管卷盘软管强度试验时,软管的长度不小于1m。
7.3.4 将被检样品进口与液压强度试验装置相联,阀类样品应处于开启状态,排除连接管路和样品腔内空气后,封闭样品所有出口。以不大于0.5MPa/s的速率缓慢升压至试验压力,保持压力至规定时间后泄压,检查样品。
7.4 超压试验
7.4.1 试验设备与7.3的规定相同,干粉软管卷盘软管超压试验时,软管的长度不小于1m。
7.4.2 将被检样品进口与试验装置相联,要求试验台有安全防护措施,排除连接管路和样品腔内空气后,封闭样品所有出口。以不大于0.5MPa/s的升压速率缓慢升压至试验压力,保持压力至规定时间后泄压,检查样品。
7.5 密封试验
7.5.1 试验要求
7.5.1.1 气压密封试验装置用氮气或压缩空气,压力测量仪表的精度不低于1.6级,试验装置的气压源应满足升压速率在使用压力范围内可调。
7.5.1.2 检漏试验用水温度不应低于5℃。
7.5.2 干粉贮存容器、释放膜片、贮气瓶组、安全泄放装置、集流管、连接管、信号反馈装置、干粉软管卷盘气密性试验
将被检样品进口与气压源相联,封闭样品其他出口,以不大于0.5MPa/s的升压速率缓慢升压至试验压力。将样品浸入水中,样品至液面深度不小于0.3m,在规定的压力保持时间内检查样品渗漏情况。
7.5.3 容器阀、选择阀、释放阀、减压阀、单向阀气密性试验
试验条件和试验程序与7.5.2相同,容器阀、选择阀、释放阀、减压阀、单向阀处于关闭状态。
将容器阀、选择阀、释放阀、减压阀、单向阀置于开启状态,重复上述试验。
7.5.4 安全阀气密性试验
试验系统的布置如图1所示。除漏气引出管外,安全阀其他部位应同外界处于完全密闭状态。漏气引出管的内径为6mm,其出口端应平行于水面并低于水面13mm。调节阀进口压力并使之保持在密封压力,观察阀门出口端,记录试验结果。
图1 安全阀密封试验布置图
7.5.5 压力显示器气密性试验
将被检样品安装在试验管路上,充压至测量上限的2/3,保持7d后浸入水中10min,样品至液面深度不小于0.3m。记录试验结果。
7.6 工作可靠性试验
7.6.1 容器阀、选择阀、释放阀的工作可靠性试验
7.6.1.1 容器阀、选择阀、释放阀的工作可靠性试验在专用试验装置上进行。气源采用压缩空气或氮气;专用试验容器的容积和驱动器工作状态应满足被试阀门在启动后完全开启的需要,被试阀门出口须连接与出口公称直径相同,长度不超过0.5m的直管和一个等效孔径不小于3mm的喷嘴。
7.6.1.2 将被试阀门安装在专用试验容器上,连接好控制驱动部件,并使之在规定条件下工作,按下述程序进行:
a) 给被试阀门充压至工作压力p,保压时间不小于5s;
b) 启动控制驱动部件,使被试阀门开启;
c) 待专用试验容器内压力降至小于0.5MPa时,关闭被试阀门;
d) 再向被试阀门充压,继续下一循环。
被试阀门在正常工作时允许破坏的零件,在每个循环试验后及时更换。
7.6.1.3 在常温20℃±5℃下,上述循环试验重复进行100次,将试验装置和样品移入温度试验箱内,在最低和最高工作温度下各进行10次。试验前样品在试验环境中放置时间,首次试验不低于2h,其余试验应使样品自身温度与试验箱内温度充分平衡。
7.6.2 单向阀工作可靠性试验
试验在常温下进行,气源采用压缩空气或氮气,顺序给单向阀正、反向交变充压至贮存压力p,使阀门达到完全开启或关闭状态,正、反向切换频率不大于每分钟30次。完成100次开启-关闭循环试验后,检查阀门。
7.6.3 燃气发生器发火装置的工作可靠性试验
试验样品数量至少为30只,根据正态分布或高斯分布求出置信度为95%的置信区间,即发火装置的发火电流范围。实测发火装置发火电流应在计算的发火电流范围内,且发火装置的发火率不小于99.9%。
7.7 振动试验
将被测样品以直立状态紧固在振动台的夹紧装置中,启动振动台。试验时,应按X、Y、Z三个垂直坐标轴线方向依次改变振动方向进行试验。试验条件如下:
a) 位移幅值:0.8mm;
b) 频率:20Hz;
c) 振动时间:每个方向2h。
7.8 安全阀整定压力
试验系统布置与安全阀的密封试验相同。升高阀进口压力,当压力达到开启压力的90%以后,升压速度不应大于0.01MPa/s,观察并记录安全阀的开启压力。
7.9 塑料、橡胶件的热稳定性试验
将干粉贮存容器的所有塑料、橡胶件取出,置于60℃±3℃的温度箱内,在此环境中保持500h后取出,再放到20℃±5℃的环境中保持5h,取出检查,观察并记录试验结果。
7.10 手动操作试验
7.10.1 被检阀门处于最大工作压力状态,测力计的精度不应低于2.5级。
7.10.2 将被测阀门的手动操作机构与测力计相联,通过测力计启动被检阀门。记录最大操作力,测量并记录最大操作行程。
7.11 盐雾腐蚀试验
7.11.1 试验在喷雾式盐雾腐蚀箱中进行。试验用盐水溶液质量浓度为20%,密度1.126g/cm³~1.157g/cm³。
7.11.2 将样品清除油渍,封堵阀类部件的进出口,以防止试验盐雾进入内腔。按正常使用位置悬挂在试验箱工作室中间部位。工作室温度控制在35℃±2℃。从被测样品上滴下的溶液不能循环使用。在工作室内至少应从两处收集盐雾,以调节试验过程中的喷雾速率和试验用盐水溶液的浓度,每80c㎡的收集面积,连续收集16h,每小时应收集1.0mL~2.0mL盐溶液,其质量浓度应为19%~21%。
7.11.3 试验周期10d,连续喷雾。试验结束后,将样品用清水清洗并置于温度20℃±5℃、相对湿度不超过70%的环境中自然干燥7d,检查样品的腐蚀情况。
7.12 温度循环泄漏试验
7.12.1 瓶组按设计充压至贮存压力。称重用试验设备的最小分度值不应大于样品中气体允许损失量上限的1/3。
7.12.2 采用压力损失作判断时,样品上须安装(或更换)检验用精密压力测量仪表。将被检样品置于恒温室中,温度控制在25℃±1℃,放置24h后读取被检瓶组压力值。釆用质量损失作判断的样品只记录称重值,无恒温要求,试验在温度试验箱中进行。
7.12.3 将瓶组分别在系统(或装置)最高使用温度和最低使用温度下间隔放置24h,共进行三次循环试验。
7.12.4 上述循环试验后,将被检样品置于25℃±5℃环境中放置24d,然后重复上述温度循环试验,再将被检样品置于25℃±5℃环境中放置24d后结束该试验。
7.12.5 试验后,被检瓶组压力值读取和称重的程序要求与试验前相同。以自动方式启动瓶组,记录试验结果。
7.13 安全泄放装置动作试验
7.13.1 安全泄放装置动作试验用设备与7.3液压强度试验设备相同,其中压力测量仪表应有瞬时记录功能,如选用压力表应带有停针机构。
7.13.2 将被检样品进口与试验装置相联,排除连接管路和样品内腔的空气后,封闭样品的所有出口。以不大于0.5MPa/s的速率缓慢升压至安全泄压装置动作。记录此时压力。
7.14 单向阀开启压力试验
7.14.1 单向阀开启压力试验采用7.5.3规定的气密性试验装置,压力表的精度不低于0.4级。
7.14.2 将被测阀门的进口与试验装置相联,阀门处于正向关闭状态。控制装置缓慢升压,记录气体喷出时的压力,即为开启压力值,试验次数不少于三次,记录试验结果。
7.15 热空气老化试验
7.15.1 非金属连接管热空气老化试验在热空气老化试验箱内进行。
7.15.2 按生产单位提供的弯曲半径将被试非金属连接管弯成90℃,置于热空气老化试验箱工作室中,样品之间、样品与箱壁间不应接触。
7.15.3 试验温度为140℃±5℃,试验时间为14d。若样品不能承受该温度而发生软化时,允许在较低温度条件下进行加长时间试验,试验持续时间按下式计算:

式(1)
式中:
D——试验持续时间,单位为天(d);
t——试验温度,单位为摄氏度(℃)。
老化试验后取出样品,在常温下空气环境中冷却24h检查,观察并记录试验结果。
7.16 耐电压试验
试验采用耐电压测试仪,试验电压0V~1500V连续可调。试验电压设定后自动升压,升压速率为100V/s~500V/s,定时60s±5s,到达设定时间后自动降压,观察并记录试验结果。
7.17 绝缘电阻试验
试验采用绝缘电阻测试仪(也可用兆欧表或摇表),试验电压直流500V,测量范围0Ω〜500MΩ。测试时应保证触点接触可靠,试验引线间绝缘电阻足够大,观察并记录试验结果。
7.18 称重装置报警功能试验
采用重物或砝码模拟瓶组质量,逐步缓慢减少质量直至报警,记录质量减少数值。
7.19 高低温试验
称重装置的高低温试验分别在高温试验箱和低温试验箱中进行,试验箱温度控制精度±2℃,达到设定温度后计算试验时间。试验结束后立即进行功能检查,观察并记录试验结果。
7.20 示值基本误差检验
7.20.1 检验用压力源采用活塞压力计,当油压造成示值滞后过大时应采用气体压力源。作为检验用压力表精度不得低于0.4级。
7.20.2 被检压力显示器处于正常工作位置,示值检验在升压过程和降压过程各进行两次,观察并记录试验结果。
7.21 压力显示器交变负荷试验
将压力显示器安装在交变负荷试验台上。调整交变频率、交变幅度,然后进行1000次的交变试验,观察并记录试验结果。
7.22 信号反馈装置触点接触电阻试验
可用数字毫欧表直接测出信号反馈装置触点接触电阻,也可以测取触点间电流和电压降,计算出触点的接触电阻。所用电工仪表的精度不低于1.5级,取连续五次测量平均值,观察并记录试验结果。
7.23 称重装置过载试验
将称重装置按工作位置安装在支架上,使其承受相当于两倍瓶组(含充装气体)质量的重物或拉力,保持15min,除去载荷后检查样品状况和报警功能,观察并记录试验结果。
7.24 信号反馈装置动作试验
7.24.1 将被检样品按工作位置安装在试验装置上,接通气压源,连好动作指示灯。缓慢升压至信号反馈装置动作,记录压力值。反复测试五次,其平均值为动作压力。
7.24.2 调整供气压力使其大于或等于信号反馈装置动作压力,重复动作试验100次,检查样品动作状况。
7.24.3 调整供气压力为0.8倍信号反馈装置动作压力,持续3min,检查样品动作状况。
7.25 局部阻力损失—等效长度测定法
7.25.1 等效长度试验装置在图2试验装置上进行,压差测量采用压差计或压力传感器,试验介质为清水,水温应不小于5℃。
7.25.2 试验管路中须建立雷诺数至少1×105的流态,可通过调整水流速实现。
雷诺数由式(2)计算得出:

(2)
式中:
s——管道中水的流速,单位为米每秒(m/s);
d——管道的实际内径,单位为米(m);
VF——水的比容,单位为立方米每千克(m³/kg);
μ——水的动力黏度,单位为千克每米秒(kg/m•s)。
调节进水口压力使流速满足雷诺数Re要求,开启排气阀排除容器腔内空气,流速稳定后,测取水流量Q、压差p、管道内径d等参数,按式(3)和式(4)计算等效长度L。

(3)

(4)
式中:
L——样品的等效长度,单位为米(m);
Lx——样品和试验管道的等效长度,单位为米(m);
p——压差值,单位为帕(Pa);
d——管道的实际内径,单位为米(m);
c——测量管路粗糙度系数,镀锌管取120;
Q——水流量,单位为升每分钟(L/min)。

图2 等效长度试验装置
7.26 燃气发生器基本参数测试
7.26.1 最小发火电流
将发火装置两引线分别接在恒流源两端,在额定工作电压下,调节电流输出直至发火装置动作,记录发火装置发火电流值,试验样品数量为10具。
7.26.2 安全电流
将发火装置两引线分别接在恒流源两端,在额定工作电压下,给发火装置通以生产单位提供的最大监视电流,通电时间不少于5min,观察发火装置动作状况。
7.27 防潮性能试验
取一杯子(应能装下点火药盒)注入5℃~40℃的清水,把数量不少于10个点火药盒完全浸入水中,静置24h后取出,立即进行点火试验,观察并记录试验结果。
7.28 时效试验
将燃气发生器在90℃±2℃温度试验箱中放置90d。取出后立即进行最小发火电流条件下的动作可靠性试验,试验样品数量为5具。观察并记录试验结果。
7.29 压力特性试验
将燃气发生器与干粉贮存容器按设计要求组装,干粉贮存容器和灭火剂量均由生产单位提供。干粉贮存容器上装有可监测容器内压力的测量设备。启动燃气发生器,测定干粉贮存容器内的压力与时间的变化,记录试验结果。
7.30 耐热和耐压试验
7.30.1 将喷嘴安装在高温试验箱内的管道上,喷嘴通过管道与处于室温下的标准干粉贮存容器相连。
7.30.2 标准罐是内装灭火剂10kg,充装量为0.65kg/L的椭球贮罐,贮罐应设补气系统,使喷嘴处压力符合6.17.6规定。
7.30.3 高温试验箱内温度为400℃±10℃,喷嘴在此温度下恒温5min,然后打开阀门,直到干粉喷完为止。观察并记录试验结果。
7.31 耐冲击试验
7.31.1 喷嘴耐冲击试验装置如图3所示,锤头、摆杆、钢轮毂和配重块通过滚动轴承、转动轴安装在固定架上。锤头材质为铝合金,锤头打击面应有足够的硬度以防止打击时造成损伤,锤头打击面与水平成60°。
7.31.2 将被试喷嘴按图3所示位置安装在试验装置上,调整喷嘴高度使冲击在锤头打击面的中心线上形成,此时锤头运动速度为1.8m/s±0.15m/s,冲击能量为2.7J。
图3 喷嘴耐冲击试验装置
a——安装板;
b——喷嘴;
c——锤头;
d——摆杆;
c——钢轮毂;
f——球轴承;
g——转动270°;
h——工作重锤;
i——配重块;
j——配重臂;
k——滑轮;
l——调节杆。
7.32 局部应用喷嘴布粉性能试验
7.32.1 试验场所为边长不小于被测喷嘴保护半径4倍的正方形,试验采用单只喷嘴进行,喷嘴类型、安装位置、管道尺寸和长度均由生产单位提供。在喷嘴保护范围内均匀布置若干集粉盒,集粉盒的间距不大于0.5m。每个集粉盒的面积不大于0.5m×0.5m,高度为50mm±5mm。干粉罐内充装设计用量的干粉灭火剂。
7.32.2 按设计要求将喷嘴与系统正确连接,手动启动系统进行喷射干粉灭火剂,待喷射结束后,测定每个集粉盒的集粉量,绘制喷嘴布粉性能曲线。
7.33 防飞溅性能试验
7.33.1 试验应在室内或室外进行,风速不应大于2m/s。
7.33.2 贮压型干粉灭火系统,试验前将按额定充装量、额定工作压力的灭火剂贮存容器组件在最高使用温度下放置16h以上。贮气瓶型干粉灭火系统的驱动气瓶组在最高使用温度下放置16h以上。
7.33.3 试验根据生产单位提供的参数,系统应在允许的最短管路、最小管径、最少弯头及喷嘴最小安装高度的条件下进行,并在系统输送管路上安装可手动开启关闭的快开型阀门。
7.33.4 试验盘长度和宽度均为1.0m,高度为200mm,试验盘内装水,水面距离试验盘沿口高度为100mm,试验盘放置在能提供最大喷射流量喷嘴的下方。手动启动灭火系统释放干粉灭火剂,待干粉灭火剂喷放5s后,手动关闭输粉管路上的快开型阀门。观察试验盘内的水有无飞溅。观察并记录试验结果。
7.34 全淹没喷嘴布粉性能试验
7.34.1 试验应在室内进行。试验空间体积不小于100m³,高度不小于3.5m。试验罐为钢质圆形,内径75mm至90mm,高度不小于100mm,壁厚不小于2mm,试验罐底部垫水,上部正庚烷高度为50mm,液面距试验罐口10mm~20mm。集粉盒面积不大于0.5m×0.5m,高度为50mm±5mm,集粉盒的壁厚不小于2mm。
7.34.2 将四个试验罐置于试验空间四墙面对角位置,两上两下交错放置。下角试验罐置于地面上,距墙50mm。上角试验罐口距吊顶300mm,距墙50mm。当灭火剂喷射流动直接影响试验罐火焰正常燃烧时,可在垂直于灭火剂喷射流动方向上安装挡板消除对火焰的直接影响。将集粉盒均匀布置在试验空间地面上,集粉盒的间距不应大于0.5m。
7.34.3 系统按设计要求充装灭火剂和驱动气体,将喷嘴与干粉供应源相连接,试验喷嘴数量由生产单位设计确定,使系统处于准工作状态。手动启动灭火系统,记录试验罐的灭火时间。待干粉喷射结束后,测量各集粉盒内干粉质量,记录试验结果。
7.35 耐低温试验
试验软管的长度不应小于5m,将软管按实际使用的半径弯曲盘放在低温试验箱内。试验温度为系统最低工作温度,试验时间为24h。试验后进行相应试验并记录试验结果。
7.36 系统外观检查
目测系统外表,记录观察试验结果。
7.37 系统结构检查
7.37.1 利用测力计和游标卡尺测量系统机械应急操作机构的操作力、操作行程及保险装置的解脱力。记录相关试验数值。
7.37.2 记录其他结构性能的检查结果。
7.38 全淹没灭火试验
7.38.1 试验准备
7.38.1.1 试验空间:试验空间的体积不应小于100m³,其长、宽不小于4m,高度不小于3.5m。试验空间若设泄压口,应设在3/4空间高度以上或顶部。
7.38.1.2 灭火系统:灭火系统设计由生产单位提供。试验应在生产单位提供的最大管路条件下进行,即系统所使用的管路最长、弯头数最多、最大管径。试验前,应保证驱动气体瓶组(贮气瓶型干粉灭火系统)或系统(贮压型干粉灭火系统)在最低使用温度下放置16h。
7.38.1.3 喷嘴布置:试验用喷嘴数量及布置位置由生产单位设计确定。
7.38.1.4 测试方法:试验过程采用热电偶或其他可以监视到火源的方法观察灭火情况。
7.38.2 A类火全淹没灭火试验
7.38.2.1 木材采用云杉、冷杉或密度相当的松木,含水率9%~13%。木垛由四层构成,每层4根方木。方木横截面为50mm×50mm,长300mm±20mm。木垛层间呈直角交错放置,每层的方木之间间隔均匀摆成正方形,将方木及层间钉起来形成木垛。每个木垛由高度为150mm的支架支撑放置。
7.38.2.2 将三个木垛置于试验空间内灭火剂最难到达的位置。木垛底部使用113g报纸,在木垛和报纸上浇入400mL工业酒精,然后点燃木垛,预燃4min,关闭试验空间所有开口,手动启动灭火系统灭火。试验结果应符合6.2.8.1的规定。
7.38.3 B类火全淹没灭火试验
7.38.3.1 试验罐为钢质圆形,内径75mm至90mm,高度不小于100mm,壁厚不小于2mm。油盘为钢质正方形,面积0.25㎡±0.02㎡,高106mm,钢板厚6mm。
7.38.3.2 燃料为正庚烷,其馏分:
a) 初馏点:+90℃;
b) 50%:+93℃;
c) 干点:+96.5℃;
d) 密度(+15.6℃):700kg/m³±50kg/m³。
7.38.3.3 试验罐底部垫水,上部正庚烷高度为50mm,液面距试验罐口10mm~20mm。将四个试验罐置于试验空间四墙面对角位置,两上两下交错放置。下角试验罐置于地面上,距墙50mm。上角试验罐口距吊顶300mm,距墙50mm。油盘内加入12.5L正庚烷,油盘底部垫水,液面距油盘上沿50mm,将油盘置于试验空间内灭火剂最难到达的位置。
7.38.3.4 点燃试验罐及油盘,预燃30s,关闭试验空间所有开口,手动启动灭火系统灭火。记录试验结果。
7.39 局部应用灭火试验
7.39.1 A类火局部应用灭火试验
7.39.1.1 灭火系统设计由生产单位提供。
7.39.1.2 试验系统应在生产单位提供的最大管路条件下进行,即系统所使用的管路最长、弯头数最多、最大管径。试验前,应保证驱动气体瓶组(贮气瓶型干粉灭火系统)或系统(贮压型干粉灭火系统)在最低使用温度下放置16h。
7.39.1.3 试验模型、喷嘴类型、喷嘴数量及喷嘴布置位置均由生产单位确定。
7.39.2 B类火局部应用灭火试验
7.39.2.1 灭火系统设计由生产单位提供。
7.39.2.2 试验系统应在生产单位提供的最大管路条件下进行,即系统所使用的管路最长、弯头数最多、最大管径。试验前,应保证驱动气体瓶组(贮气瓶型干粉灭火系统)或系统(贮压型干粉灭火系统)在最低使用温度下放置16h。
7.39.2.3 试验模型、喷嘴类型、喷嘴数量及喷嘴布置位置均由生产单位确定,记录试验结果。
8 检验规则
8.1 检验分类、检验项目和试验程序
8.1.1 型式检验
8.1.1.1 有下列情况之一时,应进行型式检验:
a) 新产品试制定型鉴定;
b) 正式投产后,如产品结构、材料、工艺、关键工序的加工方法有重大改变,可能影响产品的性能时;
c) 发生重大质量事故时;
d) 产品停产一年以上,恢复生产时;
e) 质量监督机构提出要求时。
8.1.1.2 产品型式检验项目应按表2的规定进行。
8.1.2 出厂检验
产品出厂检验项目不应少于表2规定的项目。
8.1.3 试验程序按附录A~附录N、附录P~附录T的规定。
8.2 抽样方法
部件采用随机抽样,系统由随机抽取的部件样品组装构成。样品数量按附录A~附录N、附录P~附录T的规定。
8.3 抽样方法和样品数量
8.3.1 型式检验
部件的抽样基数不应少于附录A~附录N、附录P~附录T规定的样品数量的五倍。部件采用一次性随机抽样,系统由随机抽取的部件样品组装构成。
8.3.2 出厂检验
部件的抽样基数由生产单位根据实际生产量自定,系统由随机抽取的部件样品组装构成。样品数量结合表2和附录A~附录N、附录P~附录T的要求确定。
8.4 检验结果判定
8.4. 1型式检验
系统和部件全部合格,该产品为合格;系统和部件若出现不合格,则该产品为不合格。
系统或部件的型式检验项目全部合格,该系统或部件为合格。出现A类项目不合格,则该系统或部件为不合格。B类项目不合格数大于等于2,该系统或部件为不合格。C类项目不合格数大于等于4,该系统或部件为不合格。若已有一项B类项目不合格时,C类项目不合格数大于等于2,该系统或部件判为不合格。
8.4.2 出厂检验
系统或部件出厂检验项目全部合格,该系统或部件为合格。有一项A类项目不合格,则该系统或部件为不合格。若有B类项目或C类项目不合格,允许加倍抽样检验,仍有不合格项,即判该系统或部件不合格。
9 使用说明书编写要求
使用说明书应按GB/T9969进行编写,使用说明书应至少包括下列内容:
a)系统简介(主要是工作原理);
b)系统主要性能参数;
c)系统示意图;
d)系统操作程序;
e)部件的名称、型号规格、主要性能参数、安装使用及维护说明、注意事项;
f)灭火剂灌装方法;
g)售后服务;
h)制造单位名称、详细地址、邮编和电话。
表2 型式检验项目、出厂检验项目及不合格类别 
表2(续)

附录A(规范性附录)系统试验程序及样品数量
A.1 试验程序说明
A.1.1 试验序号
试验程序如下:
1) 外观质量(6.2.1);
2) 结构(6.2.2 );
3) 组合分配系统动作程序(6.2.3);
4) 系统铭牌要求(6.2.4);
5) 灭火剂要求(6. 2.5);
6) 全淹没灭火系统有效喷射时间(6.2.6);
7) 干粉剩余率(6.2.7);
8) 灭火性能(6.2.8)。
A.1.2 说明
上述试验编号在图A.1中用方框中的数字表示,圆圈中的数字为试验所需的样品数。
A.2 试验程序图
试验程序图如图A.1所示。

图 A.1 系统试验程序图
附录B(规范性附录)干粉贮存容器试验程序及样品数量
B.1 试验程序说明
B.1.1 试验序号 试验程序如下:
1) 外观质量(6.3.1);
2) 容器壁厚(6.3.2);
3) 水压强度(6.3.3);
4) 超压要求(6.3.4):
5) 密封要求(6.3.5);
6) 抗振性能(6.3.6);
7) 塑料和橡胶件的热稳定性(6.3.7);
8) 充装量(6.3.8);
9) 其他要求(6.3.9)。
B.1.2 说明
上述试验编号在图B.1中用方框中的数字表示,圆圈中的数字为试验所需的样品数。
B.2 试验程序图
试验程序图如图B.1所示。
图 B.1 干粉贮存容器试验程序图
附录C(规范性附录)释放膜片试验程序及样品数量
C.1 试验程序说明 C.1.1 试验序号 试验程序如下:
1) 动作要求(6.4.2.1);
2) 密封要求(6.4.2.2);
3) 耐盐雾腐蚀性能(6.4.2.3)。
C.1.2 说明
上述试验编号在图C.1中用方框中的数字表示,圆圈中的数字为试验所需的样品数。
C.2 试验程序图
试验程序图如图C.1所示。
图 C.1 释放膜片试验程序图
附录D(规范性附录)释放阀试验程序及样品数量
D.1 试验程序说明 D.1.1 试验序号 试验程序如下:
1) 工作压力(6.4.3.1);
2) 材料(6.4.3.2);
3) 密封要求(6.4.3.3):
4) 强度要求(6.4.3.4);
5) 工作可靠性(6.4.3.5);
6) 耐盐雾腐浊性能(6.4.3.6)
D.1.2 说明
上述试验编号在图D.1中用方框中的数字表示,圆圈中的数字为试验所需的样品数。
D.2 试验程序图
试验程序图如图D.1所示。
图 D. 1 释放阀试验程序图
附录E(规范性附录)贮气瓶组试验程序及样品数量
E.1 试验程序说明 E.1.1 试验序号 试验程序如下:
1) 一般要求(6.5.1);
2) 充装介质要求(6.5.2);
3) 密封要求(6.5.3);
4) 抗振性能(6.5.4):
5) 温度循环泄漏要求(6.5.5);
E.1.2 说明
上述试验编号在图E.1中用方框中的数字表示,圆圈中的数字为试验所需的样品数。
E.2 试验程序图
试验程序图如图E. 1所示。
图 E.1 贮气瓶组试验程序图
附录F(规范性附录)容器阀试验程序及样品数量
F.1 试验程序说明 F.1.1试验序号 试验程序如下:
1) 材料(6.6.1);
2) 工作压力(6.6.2);
3) 强度要求(6.6.3);
4) 超压要求(6.6.4):
5) 密封要求(6.6.5);
6) 工作可靠性要求(6.6.6);
7) 耐盐雾腐蚀性能(6.6.7);
8) 手动操作要求(6.6.8);
9) 标志(6.6.9)。
F.1.2 说明
上述试验编号在图F.1中用方框中的数字表示,圆圈中的数字为试验所需的样品数。
F.2 试验程序图
试验程序图如图F.1所示。
图 F.1 容器阀试验程序图
附录G(规范性附录)单向阀试验程序及样品数量
G.1 试验程序说明 G.1.1 试验序号 试验程序如下:
1) 标志(6.7.1);
2) 工作压力(6.7.2);
3) 材料(6.7.3);
4) 强度试验(6.7.4):
5) 正向气密性试验(6.7.5);
6) 反向气密性试验(6.7.6);
7) 超压试验(6.7.7);
8) 工作可靠性试验(6.7.8);
9) 开启压力试验(6.7.9);
10)盐雾腐蚀试验(6.7.10)。
G.1.2 说明
上述试验序号在图G.1中用方框中的数字表示,圆圈中的数字为试验所需的样品数。
G.2 试验程序图
试验程序图如图G.1所示。
图 G.1 单向阀试验程序图
附录H(规范性附录)集流管试验程序及样品数量
H.1 试验程序说明 H.1.1 试验序号 试验程序如下:
1) 工作压力(6.9.1);
2) 材料(6.9.2 );
3) 强度要求(6.9.3);
4) 密封要求(6.9.4)。
H.1.2 说明
上述试验序号在图H.1中用方框中的数字表示,圆圈中的数字为试验所需的样品数。
H.2 试验程序图
试验程序图如图H.1所示。
图 H.1 集流管试验程序图
附录I(规范性附录)连接管试验程序及样品数量
I.1 试验程序说明 I.1.1 试验序号 试验程序如下:
1) 工作压力(6.10.1);
2) 材料(6.10.2);
3) 强度要求(6.10.3):
4) 密封要求(6.10.4);
5) 耐热空气老化要求(6.10.5)
I.1.2 说明
上述试验序号在图1.1中用方框中的数字表示,圆圈中的数字为试验所需的样品数。
I.2 试验程序图
试验程序图如图1.1所示。
图 I.1 连接管试验程序图
附录J(规范性附录)安全阀试验程序及样品数量
J.1 试验程序说明 J.1.1 试验序号 试验程序如下:
1) 工作压力(6.11.2.1);
2) 整定压力(6.11.2.2);
3) 强度要求(6.11.2.3);
4) 密封要求(6.11.2.4);
5) 耐盐雾腐蚀性能(6.11.2.5)。
J.1.2 说明
上述试验编号在图J.1中用方框中的数字表示,圆圈中的数字为试验所需的样品数。
J.2 试验程序图
试验程序图如图J.1所示。
图 J.1 安全阀试验程序图
附录K(规范性附录)安全泄放装置试验程序及样品数量
K.1 试验程序说明 K.1.1 试验序号 试验程序如下:
1) 动作压力(6.11.3.1);
2) 密封要求(6.11.3.2);
3) 盐雾腐蚀要求(6.11.3.3)。
K.1.2 说明
上述试验编号在图K.1中用方框中的数字表示,圆圈中的数字为试验所需的样品数。
K.2 试验程序图
试验程序图如图K.1所示。
图 K.1 安全泄放装置试验程序图
附录L(规范性附录)压力显示器试验程序及样品数量
L.1 试验程序说明 L.1.1 试验序号 试验程序如下:
1) 基本性能(6.12.2.2);
2) 标度盘要求(6.12.2.3);
3) 密封性能(6.12.2.4);
4) 强度要求(6.12.2.4);
5) 超压要求(6.12.2.4);
6) 耐盐雾腐浊性能(6.12.2.5);
7) 交变负荷试验(6.12.2.6)。
L.1.2 说明
上述试验序号在图L.1中用方框中的数字表示,圆圈中的数字为试验所需的样品数。
L.2 试验程序图
试验程序图如图L.1所示。
图 L.1 压力显示器试验程序图
附录M(规范性附录)秤重装置试验程序及样品数量
M.1 试验程序说明 M.1.1 试验序号 试验程序如下:
1) 报警功能(6.12.3.1);
2) 耐高低温性能(6.12.3.2);
3) 过载要求(6.12.3.3)。
M.1.2 说明
1) 上述试验序号在图M.1中用方框中的数字表示;
2) 圆圈中的数字为试验所需的样品数。
M.2 试验程序图
试验程序图如图M.1所示。
图 M.1 秤重装置试验程序图
附录N(规范性附录)选择阀试验程序及样品数量
N.1 试验程序说明 N.1.1 试验序号 试验程序如下:
1) 一般要求(6.13.1);
2) 标志(6.13.2);
3) 材料(6.13.3):
4) 工作压力(6.13.4);
5) 强度要求(6.13.5);
6) 超压要求(6.13.6);
7) 密封要求(6.13.7);
8) 工作可靠性要求(6.13.8);
9) 阀门局部阻力损失(6.13.9);
10)耐盐雾腐蚀性能(6.13.10);
11)手动操作要求(6.13.11)。
N.1.2 说明
上述试验编号在图N.1中用方框中的数字表示,圆圈中的数字为试验所需的样品数。
N.2 试验程序图
试验程序图如图N.1所示。
图 N.1 选择阀试验程序图
附录P(规范性附录)燃气发生器试验程序及样品数量
P.1 试验程序说明 P.1.1 试验序号 试验程序如下:
1) 燃气发生器发火装置基本参数(6.14.1);
2) 强度要求(6.14.2);
3) 超压要求(6.14.3):
4) 抗振性能(6.14.4);
5) 防潮性能(6.14.5);
6) 可靠性要求(6.14.6);
7) 时效性能(6.14.7);
8) 压力特性(6.14.8)。
P.1.2 说明
上述试验编号在图P.1中用方框中的数字表示,圆圈中的数字为试验所需的样品数。
P.2 试验程序图
试验程序图如图P.1所示。
图 P.1 燃气发生器试验程序图
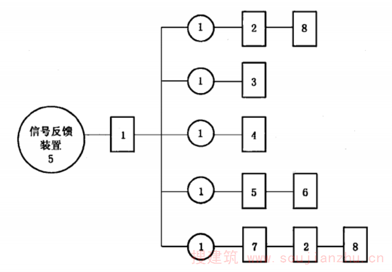
附录Q(规范性附录)信号反馈装置试验程序及样品数量
Q.1 试验程序说明 Q.1.1 试验序号 试验程序如下:
1) 一般要求(6.15.1);
2) 动作要求(6.15.2);
3) 强度要求(6.15.3):
4) 密封要求(6.15.4);
5) 耐电压性能(6.15.5);
6) 绝缘要求(6.15.6);
7) 耐盐雾腐蚀性能(6.15.7);
8) 触点接触电阻(6.15.8)。
Q.1.2 说明
上述试验编号在图Q.1中用方框中的数字表示,圆圈中的数字为试验所需的样品数。
Q.2 试验程序图
试验程序图如图Q.1所示。
图 Q.1 信号反馈装置试验程序图
附录R(规范性附录)减压阀试验程序及样品数量
R.1试验程序说明 R.1.1试验序号 试验程序如下:
1) 工作压力(6.16.1);
2) 强度要求(6.16.2);
3) 密封要求(6.16.3):
4) 流量要求(6.16.4);
5) 耐盐雾腐蚀性能(6.16.5)。
R.1.2 说明
上述试验编号在图R.1中用方框中的数字表示,圆圈中的数字为试验所需的样品数。
R.2 试验程序图
试验程序图如图R.1所示。
图 R.1 减压阀试验程序图
附录s(规范性附录)喷嘴试验程序及样品数量
S.1 试验程序说明 S.1.1 试验序号 试验程序如下:
1) 标记(6.17.1);
2) 材料(6.17.2);
3) 工作压力(6.17.3);
4) 单孔直径(6.17.4);
5) 防护帽(6.17.5);
6) 耐热和耐性能(6.17.6);
7) 耐冲击性能(6.17.7);
8) 耐盐雾腐蚀性能(6.17.8);
9) 局部应用喷嘴布粉性能(6.17.9.1);
10)局部应用喷嘴防飞溅性能(6.17.9.2);
11)全淹没喷嘴布粉性能(6.17.10)。
S.1.2 说明
上述试验编号在图S.1中用方框中的数字表示,圆圈中的数字为试验所需的样品数。
S.2 试验程序图
试验程序图如图S.1所示。
图 S.1 喷嘴试验程序图
附录T(规范性附录)干粉软管卷盘试验程序及样品数量
T.1 试验程序说明 T.1.1 试验序号 试验程序如下:
1) 外观(6.18.1);
2) 工作压力(6.18.2);
3) 密封要求(6.18.3):
4) 强度要求(6.18.4);
5) 转动性能(6.18.5);
6) 软管外观((6.18.7.1);
7) 软管工作压力(6.18.7.2);
8) 软管材料(6.18.7.3);
9) 软管强度要求(6.18.7.4);
10)软管超压要求(6.18.7.5);
11)软管耐低温性能(6.18.7.6)。
T.1.2 说明
上述试验编号在图T.1~图T.2中用方框中的数字表示,圆圈中的数字为试验所需的样品数。
T.2 试验程序图
试验程序图如图T.1~图T.2所示。
图 T.2 软管试验程序图
